大数据基数估计(Linear Counting,LogLog Counting,HyperLogLog Counting...)

702 阅读4分钟

本文已参与「新人创作礼」活动,一起开启掘金创作之路。

基数估计

大数据下的基数估计(Linear Counting,LogLog Counting,HyperLogLog Counting,Adaptive Counting)

缘起

项目中遇到的问题,考虑如下场景:

A,B,C,.....N个集合,这里的集合不是严格意义上的集合,只是指一个list,里面有重复元素。

然后我要统计这些集合的交集,并集的集合(这里的交集并集为严格意义上的集合,无重复元素)的数量,即先做 inner join 后,再 count(distinct())。

这些集合的大小从十万到十亿不等,大概有几百个这样的集合。

目前是通过mapreduce来进行计算。

下一个任务,又会重复计算这些交集

问题

1.内存资源紧张,磁盘IO消耗主要时间。 2.重复计算某些集合之间的join。

改进

1.避免大集合之间做join 2.避免重复任务

新方法

1.对每个集合进行基数统计。 2.保存各个集合的基数统计的中间结果,每个大概为几k到几十k。 3.对中间结果进行交集和并集的计算,估计基数值。

基本的概念我就不写了,基本上这篇博客介绍的很清楚:

blog.codinglabs.org/tag.html#基数…

另外原作者的论文我觉得写得非常好,谷歌的改进算法原论文也写得很好

从简单到复杂

Linear Counting

Linear Counting(简称LC)是最基本的概率模型的基数统计方法,之后的LogLogCounting(简称LLC)和HyperLogLog Counting(HLLC)的统计思想都是来源于这个统计方法进行的改进。

以下直接摘自上面说的那篇博客:

LC的基本思路是:设有一哈希函数H,其哈希结果空间有m个值(最小值0,最大值m-1),并且哈希结果服从均匀分布。使用一个长度为m的bitmap,每个bit为一个桶,均初始化为0,设一个集合的基数为n,此集合所有元素通过H哈希到bitmap中,如果某一个元素被哈希到第k个比特并且第k个比特为0,则将其置为1。当集合所有元素哈希完成后,设bitmap中还有u个bit为0。则: 为n的一个估计,且为最大似然估计(MLE)。
误差分析: 这里写图片描述 LC原理图: 这里写图片描述

具体推导就不写了,感兴趣参见原博客。

下面分析复杂度:

其实LC算法和bitmap算法很相似,都是一个bit存储一个信息,故空间复杂度为O(Nmax)

误差控制:

从上面那个公式可以反推出: 这里写图片描述

LogLog Counting

LogLogCounting ,顾名思义,空间复杂度只有O(loglogN)了,这也太牛了吧。

公式,推导,还在整理,目前我只整理了测试报告,包含实现基本步骤,和性能测试结果。

算法基本说明: 设: |元素名称|说明| |------- |N|基数上限值 |a |A集合中某一元素 |b |B集合中某一元素 |Hash()| 某种hash函数 |L| 某BitMap |E| 估计的基数值 |m|BitMap的长度 |u |Bitmap中0的数量 |f(L) |Bitmap中,从左到右第一个1出现的位置

BitMap:非概率算法。

算法步骤: 1.生成长度为N的BitMap:L。 2.hash(a)到L中某一位,并置为1. 3.将输入集合重复第2步。 4.估计值E 等于L中1的个数。

LinearCounting:概率算法。

算法步骤: 生成长度为m的BitMap:L。 hash(a)到L中某一位,并置为1. 将输入集合重复第2步. 统计BitMap中0的数量为u,则估计值E = -mlog(u/m)

LogLogCounting: 概率算法。

算法步骤: 生成长度为m的BitMap:L。其中m=32,并生成2^k个寄存器M,k<m. hash(a) 后取前32个bit,映射到L中。 取L的前k个bit,对应M中的第j个,更新Mj = max(f(L),Mj)。 将输入集合重复第2,3步. 利用M求估计值E = αm m2^((∑_j▒Mj)/m) , 其中α = ,

AdaptiveCounting: 概率算法。

算法步骤: 采用LogLogCounting 计算,然后计算空桶率b. 如果b<0.051,则采用LogLogCounting估计公式,否则采用LinearCounting估计公式.

HyperLogLogCounting: 概率算法。

算法步骤:
前四步和LogLogCounting前四步相同。
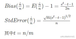
估计值变为E =  ,其中 ,即将算数平均替换为调和平均。
分段偏差修正:
E ≤ 5/2 m ,                使用LC估计.
5/2 m < E ≤1/30 2^32 ,        使用E估计.
E > 1/30 2^32  ,              使用 E = -2^32 log⁡(1-E/2^32 ) 估计.

HyperLogLog++: 概率算法。

算法步骤:
	将HyperLogLog中32位bitmap变为64位。
	增加M的稀疏表示,用键值对替代M。
	分段偏差修正:
		E ≤ 5m ,                E’=(E-bias(E,p)).
		E > 5m ,                  E’ = E 
		V ≠0,        			使用LC估计,H = LC(m,V)
		V = 0,					H = E’
		H ≤Threshold(p)     return H
		H >Threshold(p) 	return E’

MinHash: 概率算法。

算法步骤:
将Hash(A),hash(B),最小的k个值分别放入集合S1,S2。
求Jaccard Index : J = y/k, 其中,y= |S1∩S2|

HyperLogLog++&Inclusion-exculsion principle: 概率算法。

算法步骤:
利用HyperLogLog++分别计算|A|,|B|, |AB| 的基数
利用 Inclusion-exculsion principle : |AB| = |A| + |B| - |AB|

HyperLogLog++&MinHash: 概率算法。

算法步骤:
利用HyperLogLog++计算两个集合并集的基数x=|AB|
利用MinHash计算 Jaccard Index:J
由J=(|AB|)/(|AB|) , 得到实际基数y = |AB|= J * x