求根节点到叶节点数字之和· 8 月更文挑战

687 阅读2分钟

携手创作,共同成长!这是我参与「掘金日新计划 · 8 月更文挑战」的第1天,点击查看活动详情

一、题目描述:

给你一个二叉树的根节点 root ,树中每个节点都存放有一个 0 到 9 之间的数字。 每条从根节点到叶节点的路径都代表一个数字:

例如,从根节点到叶节点的路径 1 -> 2 -> 3 表示数字 123 。 计算从根节点到叶节点生成的 所有数字之和 。

叶节点 是指没有子节点的节点。

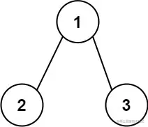
示例 1:

img

输入:root = [1,2,3] 输出:25 解释: 从根到叶子节点路径 1->2 代表数字 12 从根到叶子节点路径 1->3 代表数字 13 因此,数字总和 = 12 + 13 = 25 示例 2:

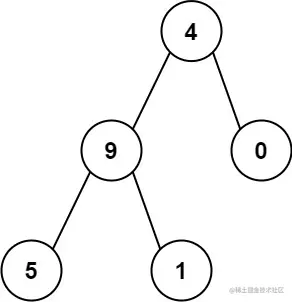
img

输入:root = [4,9,0,5,1] 输出:1026 解释: 从根到叶子节点路径 4->9->5 代表数字 495 从根到叶子节点路径 4->9->1 代表数字 491 从根到叶子节点路径 4->0 代表数字 40 因此,数字总和 = 495 + 491 + 40 = 1026

提示:

树中节点的数目在范围 [1, 1000] 内 0 <= Node.val <= 9 树的深度不超过 10

题目链接:leetcode.cn/problems/su…

二、思路分析:

1、从根节点开始往下遍历,维护一个从根节点到当前节点路径表示的数number,初始值为0。 2、遍历当前节点root,将root->val追加到number中,即执行 number = number * 10 + root->val操作。 3、如果左子树不为空,递归到左子树。如果右子树不为空,递归到右子树。 4、当遍历到叶节点时,将number加入到数字之和res中。 5、最后返回res。

三、AC 代码:

class Solution {
​
    int res = 0;
    public int sumNumbers(TreeNode root) {
        dfs(root, 0);
        return res;
    }
    public void dfs(TreeNode root, int number)
    {
        number = number * 10 + root.val;
        if(root.left == null && root.right == null)  res += number; //遍历到叶节点,将number加入res中
        if(root.left != null)  dfs(root.left,number);               //递归左子树
        if(root.right != null) dfs(root.right,number);              //递归右子树
    }
}

四、总结:

image.png

掘友们,解题不易,留下个赞或评论再走吧!谢啦~ 💐

希望对你有帮助

期待下次再见~

🌇 点赞 👍 收藏 ⭐留言 📝 一键三连 ~关注Jam,从你我做起!