每日一知识:图的遍历算法(bfs+dfs),javascript实现

124 阅读8分钟

什么是图?

在计算机中,图结构也是一种非常常见的数据结构。图论也是一个非常大的话题 图结构是一种与树结构有些相似的数据结构。 图论是数学的一个分支,并且,在数学的概念上,树是图的一种。 图主要研究的目的是事物之间的关系,顶点代表事物,边代表两个事物间的关系。

图在生活中的应用场景:

人与人之间的关系(比如六度空间理论),地点之间的联系图(地图App,就是通过图来计算最短路径或最优路径)

图的特点

  • 一组顶点:通常用V(vertex)表示顶点的集合
  • 一组边:通常用E(edge)表示边的集合

边就是顶点之间的连线 边可以是有向的也可以是无向的 比如A -> B:表示有向; A--B:表示无向

图的常见术语

  • 顶点:表示图中的一个节点。比如地图中某个位置的站点
  • 边: 两个顶点之间的连线。
  • 相邻顶点:由一条边连接在一起的顶点称为相邻顶点。
  • 度:与该顶点相关联的边的个数。比如一个两个顶点的回路,顶点就有两个度
  • 路径:顶点V1,V2...Vn的一个连续序列。
  • 简单路径:不包含重复的顶点的路径
  • 回路:第一个顶点和最后一个顶点相同的路径称为回路
  • 无向图:顶点之间的边是没有方向的
  • 有向图:顶点之间的边是有向的。
  • 无权图:边没有携带权重,无权图的边称为是没有意义的。
  • 带权图:带权图中的边带有一定的权重。权重可以是任意希望表示的数据:比如距离,耗费的事件,价格等。

图的表示

怎么在程序中表示图? 一个图包含很多顶点,另外包含顶点和顶点之间的连线(边)这两个都是非常重要的图信息,因此都需要在程序中体现出来 顶点的表示,可以抽象成ABCD,或者一些别的字符。然, A, B,C,D有可能还表示其他含义的数据(比如村庄的名字) 那么边怎么表示呢? 因为边是两个顶点之间的关系,所以表示起来会稍微麻烦一些.下面,我们具体讨论一下常见的表示方式

常见的表示图的方式:

邻接矩阵

  • 邻接矩阵让每个节点和一个整数关联,该整数作为数组的下标值
  • 用一个二维数组来表示顶点之间的连接 在这里插入图片描述 如图:二维数组中,用0表示没有连线,1表示有连线。通过二维数组,我们可以很快的找到一个顶点和哪些顶点有连线(比如A顶点,只需要遍历第一行即可)。另外,A - A,B - B(也就是顶点到自己的连线),通常使用O表示. 邻接矩阵的问题: 邻接矩阵有一个比较严重的问题,就是如果图是一个稀疏图,那么矩阵中将存在大量的0,这意味着我们浪费了计算机存储空间来表示根本不存在的边。

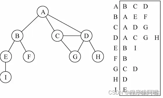
邻接表

另外一种常用的表示图的方式:邻接表 邻接表由图中每个顶点以及和顶点相邻的顶点列表组成。这个列表有很多中方式来存储:数组/链表/字典(哈希表)都可以 在这里插入图片描述 图片比较容易理解:比如我们要表示和A顶点有关联的顶点(边),A和B/C/D有边, 那么我们可以通过A找到对应的数组/链表/字典,再取出其中的内容就可以。 邻接表的问题: 邻接表计算"出度"是比较简单的(出度:指向别人的数量,入度:指向自己的数量),邻接表如果需要计算有向图的"入度",那么是一件非常麻烦的事情,它必须构造一个“逆邻接表”,才能有效的计算“入度”,但开发中“入度”相对用的比较少。

封装图结构


// 封装图结构(用邻接表的方式封装)
class Graph {
    constructor() {
        // 属性:顶点(数组)/边(字典)
        this.vertexs = [] // 顶点
        this.edges = new Map() // 边
    }

    // 添加顶点的方法
    addVertex(v) {
        // 首先添加顶点
        this.vertexs.push(v)
        // 添加顶点的时候,初始化一个数组,存储相邻的顶点
        this.edges.set(v, [])
    }

    // 添加边的方法,传入两个顶点(无向图的添加)
    addEdge(v1, v2) {

        this.edges.get(v1).push(v2)
        this.edges.get(v2).push(v1)
    }

    // 实现toString方法
    toString() {
        // 1.定义字符串,保存最终的结果
        let res = ''
        let val
        // 2.遍历所有的顶点,以及顶点对应的边
        this.vertexs.forEach(item => {
            res += item + '->'

            this.edges.get(item).forEach(item => {
                res += item + ','
                // console.log(key, value);
            })
            res += '\n'
        })
        return res
    }
}

// 测试代码
// 1.实例化图结构
let graph = new Graph()

const myVerTexes = ['A', 'B', 'C', 'D', 'E', 'F', 'G', 'H', 'I']
// 2.添加顶点
myVerTexes.forEach(item => {
    graph.addVertex(item)
})
// 3.添加边
graph.addEdge('A', 'B')
graph.addEdge('A', 'C')
graph.addEdge('A', 'D')
graph.addEdge('C', 'D')
graph.addEdge('C', 'G')
graph.addEdge('D', 'G')
graph.addEdge('D', 'H')
graph.addEdge('B', 'E')
graph.addEdge('B', 'F')
graph.addEdge('E', 'I')

alert(graph)

测试结果: 在这里插入图片描述

图的遍历

图的遍历思想:

  • 图的遍历思想和树的遍历思想是一样的。
  • 图的遍历意味着需要将图中每个顶点访问一遍,并且不能有重复的访问

有两种算法可以对图进行遍历

  • 广度优先搜索(Breadth-First Search,简称BFS)。基于队列,入队的顶点先被探索
  • 深度优先搜索(Depth-First Search,简称DFS) 。基于栈或使用递归,通过将顶点存入栈中,顶点是沿着路径被探索的,存在新的相邻点就去访问
  • 两种遍历算法,都需要明确指定第一个被访问的顶点.

用三种颜色表示顶点的状态

  • 白色:表示该顶点还没被访问
  • 灰色:表示该顶点被访问过,但并未被探索过
  • 黑色:表示该顶点被访问过且被完全探索过

广度优先搜索

广度优先搜索会从指定的第一个顶点开始遍历图,先访问其所有的相邻点,一次访问一层,也就是先宽度后深度的访问顶点 在这里插入图片描述 如图,访问顺序为:A-B-C-D-E-F-G-H-I 代码实现思路: 基于队列(先进先出)实现:

  • 首先创建一个队列Q
  • 将V点标注为灰色,V加入队列Q
  • 如果Q非空,执行以下步骤
  • 将V从Q中出队
  • 将V标注为被发现的灰色
  • 将V所有的未被访问过的邻接点标注为白色,加入到队列中
  • 将V标注为黑色

代码实现:

    // 初始化状态颜色
    initializeColor() {
        let colors = []
        this.vertexs.forEach(item => {
            // 初始化为白色
            colors[item] = 'white'
        })
        return colors
    }

    // 广度优先搜索,传入两个参数:初始化的顶点和处理函数
    bfs(initV, handler) {
        // debugger
        // 1.所有顶点初始化颜色
        let colors = this.initializeColor()

        // 2.创建队列
        let queue = new Queue()

        // 3.顶点入队
        queue.enqueue(initV)

        // 4.循环从队列中取出元素
        while (!queue.isEmpty()) {
            // 4.1 从队列中取出一个顶点
            let v = queue.dequeue()

            // 4.2 获取和顶点相邻的其他顶点
            let vList = this.edges.get(v)

            // 4.3 将v的颜色设置为灰色
            colors[v] = 'gray'

            // 4.4 遍历所有相邻的其他顶点,并且加入到队列中
            vList.forEach((item) => {
                // 此步判断是否访问过,只入队没访问过的,避免重复入队
                if (colors[item] == 'white') {
                    // 访问过后改变颜色
                    colors[item] = 'gray'
                    // 入队
                    queue.enqueue(item)
                }
            })
            // 4.5 处理节点
            handler(v)

            // 4.6 访问完的点为黑色
            colors[v] = 'black'
        }
    }

测试代码:

// 测试bfs 这里传入第一个节点
let res = ''
graph.bfs(graph.vertexs[0], function (v) {
    res += v + ' '
})
alert(res)

在这里插入图片描述 图的广度优先搜索类似于树的层序遍历

深度优先搜索

深度优先搜索的思路:

  • 深度优先搜索算法会从第一个指定的顶点开始遍历图,沿着路径直到这条路径最后被访问完(一条道走到黑)
  • 接着原路回退并探索下一条路径
  • 类似树的先序遍历

深度优先搜索算法的实现思路:

  • 广度优先搜索算法我们使用的是队列,这里可以使用栈完成,也可以使用递归,为了方便代码书写,这里使用递归(递归本质上就是函数栈的调用)。

在这里插入图片描述 如图:访问顺序为:

  • 先访问A节点,在访问A节点的相邻节点,按照存储顺序是B
  • 访问B的相邻节点E,访问E的相邻节点I
  • I没有未访问过的节点,回溯到B,访问F
  • F回溯到A,访问C
  • 访问C相邻节点D
  • 访问D相邻节点G
  • 回溯到D,访问D相邻节点H
  • 回溯到A节点访问结束

代码实现:

    // 深度优先搜索
    dfs(initV, handler) {
        // 1.所有顶点初始化颜色
        let colors = this.initializeColor()

        // 2.从某个顶点开始依次递归访问
        this.dfsVisit(initV, colors, handler)
    }
    // dfs的递归函数
    dfsVisit(v, colors, handler) {
        // 1.将颜色设置为灰色
        colors[v] = 'gray'

        // 2.处理v顶点
        handler(v)

        // 3.访问v相连的顶点
        let vList = this.edges.get(v)
        vList.forEach(item => {
            if (colors[item] == 'white') {
                this.dfsVisit(item, colors, handler)
            }
        })

        // 4.将v设置为黑色
        colors[v] = 'black'
    }

测试代码:

// 测试dfs 
res = ''
graph.dfs(graph.vertexs[0], function (v) {
    res += v + ' '
})
alert(res)

测试结果: 在这里插入图片描述