完全二叉树插入器

85 阅读1分钟

919. 完全二叉树插入器 - 力扣(LeetCode)

完全二叉树 是每一层(除最后一层外)都是完全填充(即,节点数达到最大)的,并且所有的节点都尽可能地集中在左侧。

设计一种算法,将一个新节点插入到一个完整的二叉树中,并在插入后保持其完整。

实现 CBTInserter 类:

  • CBTInserter(TreeNode root) 使用头节点为 root 的给定树初始化该数据结构;
  • CBTInserter.insert(int v)  向树中插入一个值为 Node.val == val的新节点 TreeNode。使树保持完全二叉树的状态,并返回插入节点 TreeNode 的父节点的值
  • CBTInserter.get_root() 将返回树的头节点。

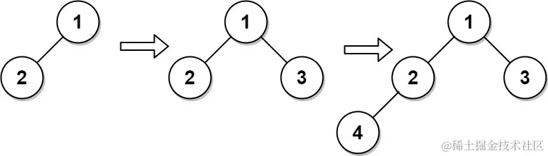
示例 1:


输入
["CBTInserter", "insert", "insert", "get_root"]
[[[1, 2]], [3], [4], []]
输出
[null, 1, 2, [1, 2, 3, 4]]
解释
CBTInserter cBTInserter = new CBTInserter([1, 2]);
cBTInserter.insert(3); // 返回 1
cBTInserter.insert(4); // 返回 2
cBTInserter.get_root(); // 返回 [1, 2, 3, 4]

提示:

  • 树中节点数量范围为 [1, 1000] 
  • 0 <= Node.val <= 5000
  • root 是完全二叉树
  • 0 <= val <= 5000 
  • 每个测试用例最多调用 insert 和 get_root 操作 10^4 次

解题

/**
 * Definition for a binary tree node.
 * function TreeNode(val, left, right) {
 *     this.val = (val===undefined ? 0 : val)
 *     this.left = (left===undefined ? null : left)
 *     this.right = (right===undefined ? null : right)
 * }
 */
function TreeNode(val, left, right) {
  this.val = val;
  this.left = left === undefined ? null : left;
  this.right = right === undefined ? null : right;
}
/**
 * @param {TreeNode} root
 */
var CBTInserter = function (root) {
  this.root = root;
  let nodes = [root];
  for (let i = 0; i < nodes.length; i++) {
    nodes[i].left && nodes.push(nodes[i].left);
    nodes[i].right && nodes.push(nodes[i].right);
  }
  this.nodes = nodes;
  this.idx = (nodes.length - 1) >> 1;
  this.isLeft = nodes.length & 1;
};

/**
 * @param {number} val
 * @return {number}
 */
CBTInserter.prototype.insert = function (val) {
  const child = new TreeNode(val);
  this.nodes.push(child);
  const node = this.nodes[this.idx]
  if (this.isLeft) {
    node.left = child;
  } else {
    node.right = child;
    this.idx++
  }
  this.isLeft = !this.isLeft
  return node.val;
};

/**
 * @return {TreeNode}
 */
CBTInserter.prototype.get_root = function () {
  return this.root;
};

/**
 * Your CBTInserter object will be instantiated and called as such:
 * var obj = new CBTInserter(root)
 * var param_1 = obj.insert(val)
 * var param_2 = obj.get_root()
 */