量化金融 板块1 - 1 资产的随机行为

202 阅读1分钟

量化金融 板块 1 - 1 - 资产的随机行为

欢迎点赞,收藏~更多量化课程持续更新ing

板块 1 - 1 中,我们首先对股票价格数据进行一些非常简单的分析,然后使用一些常识我们建立离散时间资产价格模型。我们习惯于处理非连续时间,因此我们将了解如何在离散时间模型的基础上建立连续时间模型。这将是我们对随机微积分和维纳过程的第一次了解。

在板块 1 - 1 学习结束时,您将能够

  • 统计分析股价数据
  • 理解并证明资产的对数正态随机游走
  • 辨析简单模型的正误

1. 不同类型的金融分析

  • 基本面分析
  • 技术分析
  • 定量分析

2. 通过时间序列数据建模收益率

Ri=Si+1SiSi=mean+standarddeviation×φR_i = \frac{S_{i+1} − S_i}{S_i} = mean + standard {\kern 5pt} deviation × φ

Si+1Si=µSiδt+σSiφδt1/2S_{i+1} − S_i = µS_iδt + σSiφ δt^{1/2}

3. 价格的随机性

4. 概率模型的基本知识

  • 正态分布 --->离散时间模型 (Monte Carlo模拟常用)
  • Wiener过程 --->连续时间模型(特别重要)

g0001.png

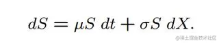
5. 维纳过程,随机性的数学模型

Wiener过程:有的教材里叫布朗运动,也是一种典型的Markov随机过程。

dS=µSdt+σSdXdS = µS dt + σS {\kern 3pt} dX

    性质:

    a. 在时间 δt 发生的变化可以用 dZ=φ 表示, φ 是正态分布;

    b. 在2个时间段中, dZ的变化是相对独立的

6. 对数正态随机游走——股票、货币、商品和指数最重要的模型