『分治』二分搜索

274 阅读4分钟

本文已参与「新人创作礼」活动,一起开启掘金创作之路。

👨‍🎓作者简介:一位喜欢写作,计科专业的大二菜鸟

🏡个人主页:starry陆离

🕒首发日期:2022年7月24日星期日

🌌上期文章:『递归』整数划分

📚订阅专栏:『算法笔记HNUCM-OJ』 如果文章有帮到你的话记得点赞👍+收藏💗支持一下哦

『分治』二分搜索

1.分治法

分治法的基本思想

对于一个规模为n的问题,

  1. 若该问题可以容易地解决(比如说规模n较小)则直接解决,
  2. 否则将其分解为k个规模较小的子问题,这些子问题互相独立与原问题形式相同
  3. 递归地解这些子问题,
  4. 然后将各子问题的解合并得到原问题的解。

这种算法设计策略叫做分治法。

分治法所能解决的问题一般具有以下几个特征

  1. 该问题的规模缩小到一定的程度就可以容易地解决

  2. 该问题可以分解为若干个规模较小的相同问题,即该问题具有最优子结构性质

  3. 利用该问题分解出的子问题的解可以合并为该问题的解; (关键)

  4. 该问题所分解出的各个子问题是相互独立的,即子问题之间不包含公共的子问题(性能考虑)

【如果具备了 前两条特征,而不具备第三条特征,则可以考虑贪心算法或动态规划】

【重复地解公共的子问题用动态规划较好】

分治法的精髓

分--将问题分解为规模更小的子问题;

治--将这些规模更小的子问题逐个击破;

合--将已解决的子问题合并,最终得出“母”问题的解;

比较经典的分治法的运用:二分搜索,快速排序,归并排序,第k大(小)元素问题。。。

(这些我都会写笔记哦,同学你还不快快收藏关注,一起学习!!!)

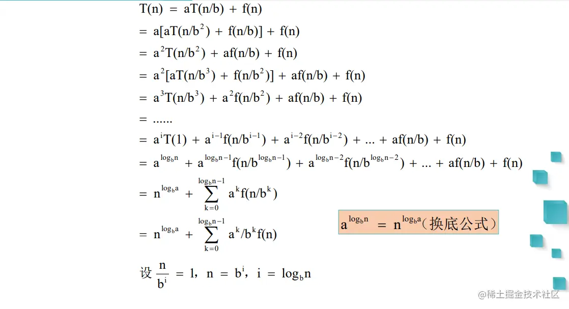
2.分治法的复杂度分析

分治法将规模为n的问题分成a个规模为n/b的子问题去解

  • 设n0=1,且adhoc解(直接可以求解)规模为1的问题耗费1个单位时
  • 设将原问题分解为a个子问题以及用merge将a个子问题的解合并为原问题的解需用f(n)个单位时间
  • 用T(n)表示该分治法解规模为|P|=n的问题所需的计算时间,则有

image-20220702215033516

公式展开:

image-20220702215122043

image-20220702215205243

image-20220702215224347

image-20220702215241899

image-20220702215311467

3.二分搜索 T(n) = O(logn)

问题提出:在一个单调有序的无重复元素的序列中arr[left,right],我们要找某一个元素k,怎么快速的找到呢?

很显然有一种策略:

  1. 我们先找中位数(中间的元素)mid,
  2. 要找的元素k<arr[mid],说明元素k在mid的左边,我们就又在arr[left,mid-1]中寻找;
  3. 如果要找的元素k>arr[mid],说明元素k在mid的右边,我们就又在arr[mid+1,right]中寻找;
  4. 如果刚好k==arr[mid],那就是找到了。、

4.Java代码非递归实现

例题:HNUCM-OJ

 ​
 import java.util.Scanner;
 ​
 public class Main {
 ​
     public static void main(String[] args) {
         Scanner scanner=new Scanner(System.in);
         int n,target,ans,mid=0;
         int []num;
         while(scanner.hasNext()) {
             ans=-1;
             n=scanner.nextInt();
             num=new int[n];
             for(int i=0;i<n;++i) {
                 num[i]=scanner.nextInt();
             }
             target=scanner.nextInt();
             
             
             //二分搜索核心代码
             int low=0,high=n;
             while(low<=high) {
                 mid=low+(high-low)/2;
                  //因为数组的下标是从0开始的,所以需要将找到的下标+1,才是目标元素的位置
                 if(num[mid]==target) {ans= mid+1;break;}
                 else if(num[mid]<target) {low=mid+1;}
                 else {high=mid-1;}
             }
             
             
             System.out.println(ans);
 ​
         }
         scanner.close();    
     }
 }
 ​

5.Java代码递归实现

例题:HNUCM-OJ

 ​
 import java.util.Scanner;
 ​
 public class Main {
 ​
     public static void main(String[] args) {
         Scanner scanner=new Scanner(System.in);
         int n,target,ans=0;
         int []num;
         
         while(scanner.hasNext()) {
             n=scanner.nextInt();
             num=new int[n];
             for(int i=0;i<n;++i) {
                 num[i]=scanner.nextInt();
             }
             target=scanner.nextInt();
             //调用二分搜索递归函数
             ans=BinarySearch(num,0,n,target);
             //因为数组的下标是从0开始的,所以需要将找到的下标+1,才是目标元素的位置
             ans=(ans==-1?-1:ans+1);
             System.out.println(ans);
         }
         scanner.close();
     }
     
     //二分搜索递归函数
     public static int BinarySearch(int []num,Integer low,Integer high,int target) {
         if(low<=high) {
             int mid=low+(high-low)/2;
             if(num[mid]==target)return mid;
             else if(num[mid]>target)return BinarySearch(num, low, mid-1, target);
             else return BinarySearch(num, mid+1, high, target);
         }
         else {
             return -1;
         }
         
     }
 ​
 }

6.Java自带二分搜索方法

查API可以知道,二分查找重载了很多方法,字符型,整型,长整型,浮点型,双精度等等,而且还可以指定查找的范围

image-20220409214216201

那么如何使用这个方法呢,它的返回值又是多少?

 ​
 import java.util.Arrays;
 ​
 public class BinarySearchMy {
 ​
     public static void main(String[] args) {
 ​
         int num[]= {1,2,3,4,6,7,9,12,34,56,87};
         int ans=Arrays.binarySearch(num, 1);
         int ans1=Arrays.binarySearch(num, 2);
         int ans2=Arrays.binarySearch(num, 5);
         int ans3=Arrays.binarySearch(num, 6);
         int ans4=Arrays.binarySearch(num, 8);
         int ans5=Arrays.binarySearch(num, 10);
         System.out.println("ans:"+ans);
         System.out.println("ans1:"+ans1);
         System.out.println("ans2:"+ans2);
         System.out.println("ans3:"+ans3);
         System.out.println("ans4:"+ans4);
         System.out.println("ans5:"+ans5);
         
 //      ans:0
 //      ans1:1
 //      ans2:-5
 //      ans3:4
 //      ans4:-7
 //      ans5:-8
     }
 ​
 }
 ​

分析输出可知:

  1. 如果找到了目标元素,返回目标元素所在的位置的下标;
  2. 如果没有找到,则返回的是一个负数,但不并不是随便的一个负数,它也是有讲究的,返回的是该元素应该插入的位置的负数;

7.单调有序包含重复元素的序列

如果是单调有序包含重复元素的序列,那么返回的值又是多少呢?

其实如果理解了开篇的二分的原理,不难猜到返回的应该是中间的那个元素的位置下标

如下寻找序列中的2,返回的就是中间的那个2的下标;

 import java.util.Arrays;
 ​
 public class BinarySearchMy {
 ​
     public static void main(String[] args) {
 ​
         int num[]= {1,2,2,2,6,6,9,9,9,9,87};
         
         int ans1=Arrays.binarySearch(num, 2);
         int ans3=Arrays.binarySearch(num, 6);
         int ans5=Arrays.binarySearch(num, 9);
         
         System.out.println("ans1:"+ans1);
         System.out.println("ans3:"+ans3);
         System.out.println("ans5:"+ans5);
         
 //      ans1:2
 //      ans3:5
 //      ans5:8
     }
 ​
 }
 ​

8.练习题

704. 二分查找 - 力扣(LeetCode) (leetcode-cn.com)

278. 第一个错误的版本 - 力扣(LeetCode) (leetcode-cn.com)

35. 搜索插入位置 - 力扣(LeetCode) (leetcode-cn.com)

·HNUCM-OJ1424: 二分搜索升级版