数学建模——灰度预测模型

550 阅读6分钟

本文已参与「新人创作礼」活动,一起开启掘金创作之路。

灰度预测模型


通过少量的、不完全的信息,建立数学模型并做出预测的一种预测方法。

当我们运用统筹学的思想方法解决实际问题,制定发展战略和政策、进行重大问题的决策时,都必须对未来进行科学的预测。

预测是根据客观事物的过去和现在的发展规律,借助于科学的方法对其未来的发展趋势和状况进行描述和分析,并形成科学的假设和判断。

灰色系统理论简介

灰色系统理论是研究解决灰色系统分析、建模、预测、决策和控制的理论。灰色预测是对灰色系统所做的预测。

目前常用的一些预测方法(如回归分析等),需要较大的样本,若样本较小,常造成较大误差,使预测目标失效。

灰色预测模型所需建模信息少,运算方便,建模精度高,在各种预测领域都有着广泛的应用,是处理小样本预测问题的有效工具。

灰色系统理论是由华中理工大学邓聚龙教授于1982年提出并加以发展的。二十几年来,引起了不少国内外学者的关注,得到了长足的发展。目前,在我国已成为了社会、经济、科学技术等诸多领域进行预测、决策、评估、规划控制、系统分析与建模的重要方法之一。特别是它对时间序列短、统计数据少、信息不完全系统的分析与建模,具有独特的功效,因此得到了广泛的应用。

灰色系统是黑箱概念的一种推广。我们把既含有已知信息又含有未知信息的系统称为灰色系统。作为两个极端,我们将信息完全未确定的系统为黑色系统;称信息完全确定的系统为白色系统

区别白色系统与黑色系统的重要标志是系统各因素之间是否具有确定的关系

灰色系统的特点

  1. 用灰色数学处理不确定量,使之量化。
  2. 充分利用已知信息寻求系统的运动规律。
  3. 灰色系统理论能处理贫信息系统。

处理

灰色生成

将原始数据列中的数据,按某种要求做数据处理称为生成。

客观世界尽管复杂,表述其行为的数据可能是杂乱无章的,然而它必然是有序的,都存在着某种内在规律,不过这些规律被纷繁复杂的现象所覆盖,人们很难直接从原始数据中找到某种内在的规律。对原始数据的生成就是企图从杂乱无章的现象中去发现内在规律。

常用的灰色系统生成方式有:

  • 累加生成
  • 累减生成
  • 均值生成
  • 级比生成

 

本节主要学习累加生成

累加生成

累加生成,即通过数列间各时刻数据的依个累加以得到新的数据与数列。

累加前的数列称原始数列,累加后的数列称为生成数列

累加生成是使灰色过程由灰变白的一种方法,它在灰色理论中占有极其重要地位,通过累加生成可以看出灰量积累过程的发展态势,使离乱的原始数据中蕴含的积分特性或规律加以显化。累加生成使对原始数据列中各时刻的数据依次累加,从而生成新的序列的一种手段。

例:

image.png

公式:

image.png

GM(1,1)模型

灰色系统使对离散序列建立的微分方程,GM(1,1)是一阶微分方程模型,其形式为:

image.png

离散形式:

image.png

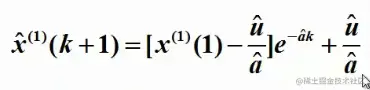
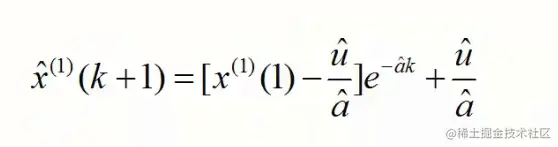
预测公式:

image.png

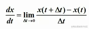
推导过程(了解)

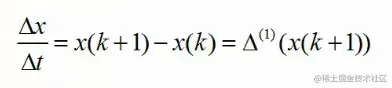
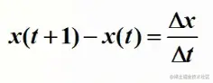
由导数定义可知:

image.png

当▲t很小时并且取很小的1单位时,则近似地有

image.png

写成离散形式:

image.png

image.png

整理可得👇

image.png

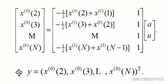
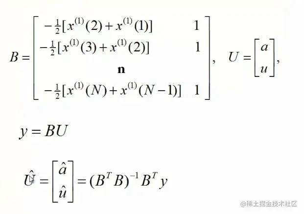
写为矩阵表达式:

image.png

image.png

image.png

GM(1,1)模型精度检验

模型选定后,一定要经过检验才能判定其是否合理,只有通过检验的模型才能用来作预测,灰色模型的精度检验一般有三种方法:

  • 相对误差大小检验法
  • 关联度检验法
  • 后验差检验法

这里主要学习后验差检验法

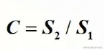
image.png

image.png

计算得后验差比为:

image.png

指标C和p时后验差检验的两个重要指标,C越小越好:

C小→S1大→原始数据方差大→原始数据离散程度大

C小→S2小→残方差小→残差离散程度小

故C小表明尽管原始数据很离散,而模型所得计算值与实际值之间并不太离散。

精度检验等级参照表

模型精度等级均方差比值C
1级(好)C<=0.35
2级(合格)0.35<C<=0.5
3级(勉强)0.5<C<=0.65
4级(不合格)0.65<C
  

代码

`function []=greymodel(y) % 本程序主要用来计算根据灰色理论建立的模型的预测值。 % 应用的数学模型是 GM(1,1)。 % 原始数据的处理方法是一次累加法。 y=input('请输入数据 '); n=length(y); yy=ones(n,1); yy(1)=y(1); for i=2:n yy(i)=yy(i-1)+y(i); end B=ones(n-1,2); for i=1:(n-1) B(i,1)=-(yy(i)+yy(i+1))/2; B(i,2)=1; end BT=B'; for j=1:n-1 YN(j)=y(j+1); end YN=YN'; A=inv(BTB) BTYN; a=A(1); u=A(2); t=u/a; i=1:n+2; yys(i+1)=(y(1)-t). exp(-a.i)+t; yys(1)=y(1); for j=n+2👎2 ys(j)=yys(j)-yys(j-1); end x=1:n; xs=2:n+2; yn=ys(2:n+2); plot(x,y,'^r',xs,yn,' -b'); det=0;

sum1=0; sumpe=0; for i=1:n sumpe=sumpe+y(i); end pe=sumpe/n; for i=1:n; sum1=sum1+(y(i)-pe).^2; end s1=sqrt(sum1/n); sumce=0; for i=2:n sumce=sumce+(y(i)-yn(i)); end ce=sumce/(n-1); sum2=0; for i=2:n; sum2=sum2+(y(i)-yn(i)-ce).^2; end s2=sqrt(sum2/(n-1)); c=(s2)/(s1); disp(['后验差比值为:',num2str(c)]); if c<0.35 disp('系统预测精度好') else if c<0.5 disp('系统预测精度合格') else if c<0.65 disp('系统预测精度勉强') else disp('系统预测精度不合格') end end end
disp(['下个拟合值为 ',num2str(ys(n+1))]); disp(['再下个拟合值为',num2str(ys(n+2))]);`