数学建模——多属性决策模型

421 阅读2分钟

本文已参与「新人创作礼」活动,一起开启掘金创作之路。

多属性决策模型


利用已有的决策信息通过一定的方式对一组(有限个)备选方案进行排序或择优。常用于投资决策、项目评估、维修服务、武器系统性能评定、工厂选址、投标招标、产业部门发展排序和经济效益综合评价等。

它主要由两部分组成:

①获取决策信息。决策信息一般包括两个方面的内容:属性权重和属性值(属性值主要有三种形式:实数、区间数和语言)。其中,属性权重的确定是多属性决策中的一个重要研究内容;

②通过一定的方式对决策信息进行集结并对方案进行排序和择优。

信息集结:

信息集结的方法有很多,如:

  • 加权算术平均(WAA)算子

  • 加权几何平均(WGA)算子

  • 有序加权平均(OWA)算子

     

这里主要学习WAA:

image.png 举例:

image.png

属性值的归一化处理

属性类型

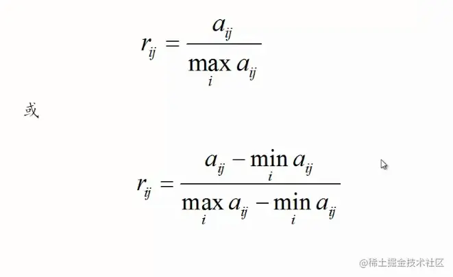
  • 效益型:属性值越大越好的属性
  • 成本型:属性值越小越好的属性
  • 固定型:属性值越接近某个固定α越好的属性
  • 偏离型:属性值越偏离某个固定值β越好的属性
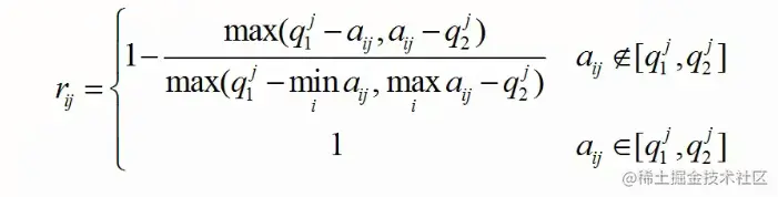
  • 区间型:属性值越接近某个固定区间[q1,q2](包括落入该区间)越好的属性
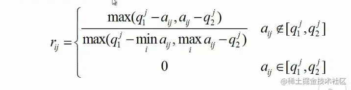
  • 偏离区间型:属性值越偏离某个固定区间[q1,q2](包括落入该区间)越好的属性

规范化处理

效益型↓

image.png

成本型↓

image.png

固定型↓

image.png

偏离型↓

image.png

区间型↓

image.png

偏离区间型↓

image.png

 

例:

投资银行拟对某市4家企业(方案)进行投资,抽取下列五项指标(属性)进行评估:

——产值(万元);

——投资成本(万元);

——销售额(万元);

——国家收益比重;

——环境污染程度;

投资银行考察了上年度4家企业的上述指标情况(其中污染程度系由环保部门检测并量化),所得评估结果如表所示。在各项指标中,投资成本、污染程度为成本型,其他为效益型,属性权重信息完全未知,试确定最佳投资方案。

image.png

给出图为归一化处理前的决策矩阵↑

我们计算出归一化处理后的决策矩阵↓

image.png

对五个属性构建成对比矩阵,计算属性权重

image.png

u1-u5的权重分别为:[0.4286, 0.1429, 0.1429, 0.1429, 0.1429]

由属性权重和属性值计算总得分:

image.png

企业1-4得得分分别为:

0.80 0.79 0.89 0.85

所以应该投资企业3

总结

先对客观数字进行归一化,最终依然使用层次分析法进行计算。