React入门基础

65 阅读8分钟

1、hooks 为什么不能放在条件判断里 ?

在 react 内部,每个组件(Fiber)的 hooks 都是以链表的形式存在 memoizeState 属性中:

update 阶段,每次调用 setState,链表就会执行 next 向后移动一步。如果将 setState 写在条件判断中,假设条件判断不成立,没有执行里面的 setState 方法,会导致接下来所有的 setState 的取值出现偏移,从而导致异常发生。

2、fiber ?

React Fiber 是一种基于浏览器的单线程调度算法。

React Fiber 用类似 requestIdleCallback 的机制来做异步 diff。但是之前数据结构不支持这样的实现异步 diff,于是 React 实现了一个类似链表的数据结构,将原来的递归diff 变成了现在的遍历diff,这样就能做到异步可更新了。

3、diff ?

传统 diff 算法的时间复杂度是 O(n^3),这在前端 render 中是不可接受的。为了降低时间复杂度,react 的 diff 算法做了一些妥协,放弃了最优解,最终将时间复杂度降低到了 O(n)。

那么 react diff 算法做了哪些妥协呢?,参考如下:

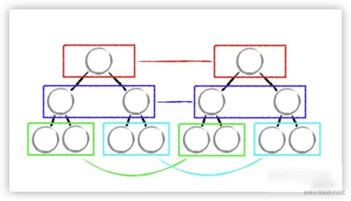
1、tree diff:只对比同一层的 dom 节点,忽略 dom 节点的跨层级移动

如下图,react 只会对相同颜色方框内的 DOM 节点进行比较,即同一个父节点下的所有子节点。当发现节点不存在时,则该节点及其子节点会被完全删除掉,不会用于进一步的比较。

这样只需要对树进行一次遍历,便能完成整个 DOM 树的比较。

这就意味着,如果 dom 节点发生了跨层级移动,react 会删除旧的节点,生成新的节点,而不会复用。

2、component diff:如果不是同一类型的组件,会删除旧的组件,创建新的组件

3、element diff:对于同一层级的一组子节点,需要通过唯一 id 进行来区分

如果没有 id 来进行区分,一旦有插入动作,会导致插入位置之后的列表全部重新渲染。

这也是为什么渲染列表时为什么要使用唯一的 key。

4、调用setState之后发生了什么?

  1. setState 的时候,React 会为当前节点创建一个 updateQueue 的更新列队。
  2. 然后会触发 reconciliation 过程,在这个过程中,会使用名为 Fiber 的调度算法,开始生成新的 Fiber 树, Fiber 算法的最大特点是可以做到异步可中断的执行。
  3. 然后 React Scheduler 会根据优先级高低,先执行优先级高的节点,具体是执行 doWork 方法。
  4. doWork 方法中,React 会执行一遍 updateQueue 中的方法,以获得新的节点。然后对比新旧节点,为老节点打上 更新、插入、替换 等 Tag。
  5. 当前节点 doWork 完成后,会执行 performUnitOfWork 方法获得新节点,然后再重复上面的过程。
  6. 当所有节点都 doWork 完成后,会触发 commitRoot 方法,React 进入 commit 阶段。
  7. 在 commit 阶段中,React 会根据前面为各个节点打的 Tag,一次性更新整个 dom 元素。

5、React 组件间有那些通信方式 ?

1、父组件向子组件通信

1、 通过 props 传递

2、子组件向父组件通信

1、 主动调用通过 props 传过来的方法,并将想要传递的信息,作为参数,传递到父组件的作用域中

3、跨层级通信

1、 使用 react 自带的 Context 进行通信,createContext 创建上下文, useContext 使用上下文。

import React, { createContext, useContext } from 'react';

const themes = {
  light: {
    foreground: "#000000",
    background: "#eeeeee"
  },
  dark: {
    foreground: "#ffffff",
    background: "#222222"
  }
};

const ThemeContext = createContext(themes.light);

function App() {
  return (
    <ThemeContext.Provider value={themes.dark}>
      <Toolbar />
    </ThemeContext.Provider>
  );
}

function Toolbar() {
  return (
    <div>
      <ThemedButton />
    </div>
  );
}

function ThemedButton() {
  const theme = useContext(ThemeContext);
  return (
    <button style={{ background: theme.background, color: theme.foreground }}>
      I am styled by theme context!
    </button>
  );
}

export default App;

2、使用 Redux 或者 Mobx 等状态管理库

3、使用订阅发布模式

6、React 父组件如何调用子组件中的方法 ?

1、如果是在方法组件中调用子组件(>= react@16.8),可以使用 useRefuseImperativeHandle:

const { forwardRef, useRef, useImperativeHandle } = React;
const Child = forwardRef((props, ref) => {
  useImperativeHandle(ref, () => ({
    getAlert() {
      alert("getAlert from Child");
    }
  }));
  return <h1>Hi</h1>;
});
const Parent = () => {
  const childRef = useRef();
  return (
    <div>
      <Child ref={childRef} />
      <button onClick={() => childRef.current.getAlert()}>Click</button>
    </div>
  );
};

2、如果是在类组件中调用子组件(>= react@16.4),可以使用 createRef:

const { Component } = React;
class Parent extends Component {
  constructor(props) {
    super(props);
    this.child = React.createRef();
  }
  onClick = () => {
    this.child.current.getAlert();
  };
  render() {
    return (
      <div>
        <Child ref={this.child} />
        <button onClick={this.onClick}>Click</button>
      </div>
    );
  }
}
class Child extends Component {
  getAlert() {
    alert('getAlert from Child');
  }
  render() {
    return <h1>Hello</h1>;
  }
}

7、React有哪些优化性能的手段 ?

1、类组件中的优化手段

1、使用纯组件 PureComponent 作为基类。

2、使用 React.memo 高阶函数包装组件。

3、使用 shouldComponentUpdate 生命周期函数来自定义渲染逻辑。

2、方法组件中的优化手段

1、使用 useMemo

2、使用 useCallBack

3、其他方式

1、在列表需要频繁变动时,使用唯一 id 作为 key,而不是数组下标。

2、必要时通过改变 CSS 样式隐藏显示组件,而不是通过条件判断显示隐藏组件。

3、使用 Suspenselazy 进行懒加载,例如:

import React, { lazy, Suspense } from "react";

export default class CallingLazyComponents extends React.Component {
  render() {
    var ComponentToLazyLoad = null;

    if (this.props.name == "Mayank") {
      ComponentToLazyLoad = lazy(() => import("./mayankComponent"));
    } else if (this.props.name == "Anshul") {
      ComponentToLazyLoad = lazy(() => import("./anshulComponent"));
    }

    return (
      <div>
        <h1>This is the Base User: {this.state.name}</h1>
        <Suspense fallback={<div>Loading...</div>}>
          <ComponentToLazyLoad />
        </Suspense>
      </div>
    )
  }
}

8、为什么 React 元素有一个 $$typeof 属性 ?

目的是为了防止 XSS 攻击。因为 Symbol 无法被序列化,所以 React 可以通过有没有 $$typeof 属性来断出当前的 element 对象是从数据库来的还是自己生成的。

如果没有 $$typeof 这个属性,react 会拒绝处理该元素。

9、React 如何区分 Class组件 和 Function组件 ?

一般的方式是借助 typeof 和 Function.prototype.toString 来判断当前是不是 class,如下:

function isClass(func) {
  return typeof func === 'function'
    && /^class\s/.test(Function.prototype.toString.call(func));
}

但是这个方式有它的局限性,因为如果用了 babel 等转换工具,将 class 写法全部转为 function 写法,上面的判断就会失效。

React 区分 Class组件 和 Function组件的方式很巧妙,由于所有的类组件都要继承 React.Component,所以只要判断原型链上是否有 React.Component 就可以了:

AComponent.prototype instanceof React.Component

10、什么是 suspense 组件 ?

Suspense 让组件“等待”某个异步操作,直到该异步操作结束即可渲染。在下面例子中,两个组件都会等待异步 API 的返回值:

const resource = fetchProfileData();

function ProfilePage() {
  return (
    <Suspense fallback={<h1>Loading profile...</h1>}>
      <ProfileDetails />
      <Suspense fallback={<h1>Loading posts...</h1>}>
        <ProfileTimeline />
      </Suspense>
    </Suspense>
  );
}

function ProfileDetails() {
  // 尝试读取用户信息,尽管该数据可能尚未加载
  const user = resource.user.read();
  return <h1>{user.name}</h1>;
}

function ProfileTimeline() {
  // 尝试读取博文信息,尽管该部分数据可能尚未加载
  const posts = resource.posts.read();
  return (
    <ul>
      {posts.map(post => (
        <li key={post.id}>{post.text}</li>
      ))}
    </ul>
  );
}

Suspense 也可以用于懒加载,参考下面的代码:

const OtherComponent = React.lazy(() => import('./OtherComponent'));

function MyComponent() {
  return (
    <div>
      <Suspense fallback={<div>Loading...</div>}>
        <OtherComponent />
      </Suspense>
    </div>
  );
}

11、为什么 JSX 中的组件名要以大写字母开头 ?

因为 React 要知道当前渲染的是组件还是 HTML 元素。

12、redux 是什么 ?

Redux 是一个为 JavaScript 应用设计的,可预测的状态容器。

它解决了如下问题:

  • 跨层级组件之间的数据传递变得很容易
  • 所有对状态的改变都需要 dispatch,使得整个数据的改变可追踪,方便排查问题。

但是它也有缺点:

  • 概念偏多,理解起来不容易
  • 样板代码太多

13、react-redux 的实现原理 ?

通过 redux 和 react context 配合使用,并借助高阶函数,实现了 react-redux

14、reudx 和 mobx 的区别 ?

得益于 Mobx 的 observable,使用 mobx 可以做到精准更新;对应的 Redux 是用 dispath 进行广播,通过Provider 和 connect 来比对前后差别控制更新粒度。

15、redux 有哪些异步中间件 ?

1、redux-thunk

源代码简短优雅,上手简单

2、redux-saga

借助 JS 的 generator 来处理异步,避免了回调的问题

3、redux-observable

借助了 RxJS 流的思想以及其各种强大的操作符,来处理异步问题

16、react父组件更新会,为什么子组件也会更新 ?

React 会创建一个虚拟 DOM(virtual DOM)。当一个组件中的状态改变时,React 首先会通过 "diffing" 算法来标记虚拟 DOM 中的改变,第二步是调节(reconciliation),会用 diff 的结果来更新 DOM。

只要父组件的render了,那么默认情况下就会触发子组件的render过程,子组件的render过程又会触发它的子组件的render过程,一直到React元素(即jsx中的

这样的元素)。当render过程到了叶子节点,即React元素的时候,diff过程便开始了,这时候diff算法会决定是否切实更新DOM元素。

是因为React不能检测到是否给子组件传了属性,所以它必须进行这个重渲染过程(术语叫做reconciliation)。但是这不会使得react有多低效,因为reconciliation过程是执行的JavaScript,而重渲染的性能开销主要是更新DOM导致的,最后diff算法会介入,决定是否要真正更新DOM,JavaScript的执行速度很快的,所以即使父组件render会触发所有后代组件的render过程(reconciliation过程),这个效率也不会有太大影响。

当然,从道理上讲,既然没有给子组件传递属性,或者程序能够判断出传递的属性并没有发生变化,那么自然无需进行子组件的reconciliation过程。但是react无法自动检测这一点,于是它提供了shouldComponentUpdate回调函数,让程序员根据情况决定是否决定是否要重render本组件。如果某个组件的shouldComponentUpdate总是返回false, 那么当它的父组件render了,会触发该组件的render过程,但是进行到shouldComponentUpdate判断时会被阻止掉,从而就不调用它的render方法了,它自己下面的组件的render过程压根也不会触发了。

具体可以参考 文档