支持向量机,从入门到精通

186 阅读5分钟

本文已参与「新人创作礼」活动,一起开启掘金创作之路

SVM简介与背景知识

在这里插入图片描述 通俗来说,支持向量机就是一个二分类问题,根据所给的训练集数据集进行将数据的最佳划分,以达到测试集的最佳分类。支持向量机也叫做SVM,在实际工业的运用中,有着很强的可靠性和广泛的使用。接下来我们就来具体介绍一下这么好用的算法。 在这里插入图片描述 在这里插入图片描述 所谓的二分类问题就是通过一条分割线来对数据进行分类,在二维情况下就是平面直角坐标系下的y=kx+b,当x的维度(对应与需要分类的条件,即属性增多的情况)大于等于2时,情况就上升的多维的情况,我们就引出了超平面的概念。当数据集带入线性可分的方程之后,通过判断y的值,进而对数据集进行划分。大于0则属于第一类,小于0属于第二类。需要指出的是,SVM是一个线性的分类问题,因为其简单所以大量应用,对于更复杂的问题,我们可以采用非线性的划分,但在这里不做讨论。 那么我们这么确定这条直线呢,确定的约束又是什么呢? 在这里插入图片描述 在这里插入图片描述 在这里插入图片描述 这里,我们就可以引出支持向量和支持向量机的概念了。 ==支持向量==(support vector)就是离分隔超平面最近的那些点。接下来要试着最大化支持向量到分隔面的距离,需要找到此问题的优化求解方法。

 支持向量机 :
优点:泛化错误率低,计算开销不大,结果易解释。
缺点:对参数调节和核函数的选择敏感,原始分类器不加修改仅适用于处理二类问题。
适用数据类型:数值型和标称型数据

SVM的数学证明

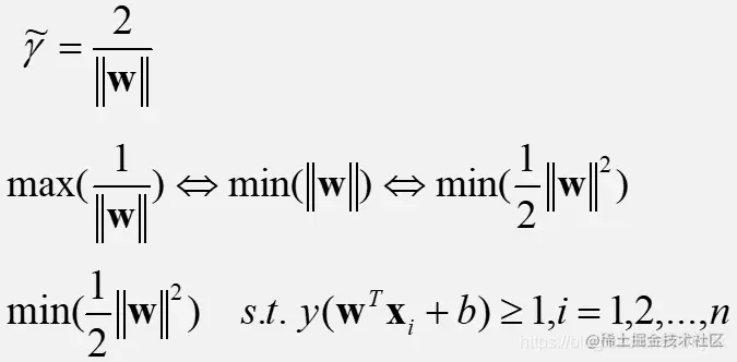
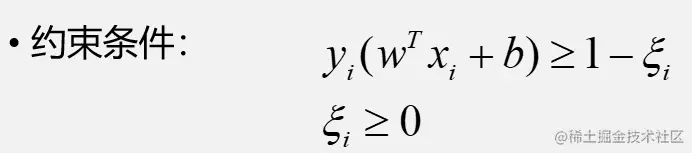
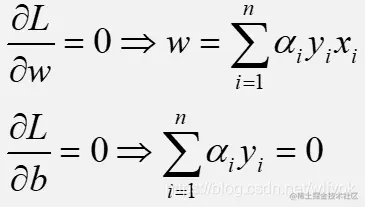
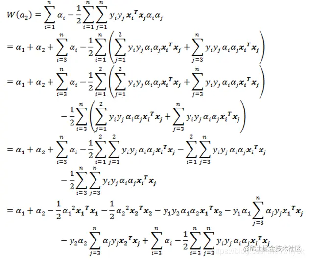
在介绍完背景知识后,就可以引出公式和数学证明了。数学功底好的读者可以阅读本部分,了解其原理,如果只是想了解概念和代码的,可以跳过本部分,直接最后的算法和代码部分。 先给出点到直线的距离公式,以便后续的使用 在这里插入图片描述 在这里插入图片描述 我们指出,最佳的直线应该是最能分割数据集的点的直线,即使得直线的最近的数据点之间的距离要最大!所以我们主要就是对支持向量和最大间隔进行讨论。 在这里插入图片描述 在这里插入图片描述 因此我们就将问题转化为了一个带约束的二次规划问题,它是一个凸问题。而对于优化问题,我们可以使用拉格朗日乘子法去解决它。 在这里插入图片描述 在这里插入图片描述 接下来我们就对上述引出的拉格朗日函数进行分步骤求解,并最终导出公式 第一步,对自变量求偏导 在这里插入图片描述 在这里插入图片描述 在这里插入图片描述 在这里插入图片描述 在这里插入图片描述 这样,我们就完成了对最基本问题的求解,但它不适用与大多数情况,我们进行如下讨论。 其实在很多时候,不是在训练的时候分类函数越完美越好,因为训练函数中有些数据本来就是噪声,可能就是在人工加上分类标签的时候加错了,如果在训练(学习)的时候把这些错误的点学习到了,那么模型在下次碰到这些错误情况的时候就难免出错了。这种学习的时候学到了“噪声" 的过程就是一个过拟合(over-iting) , 这在机器学习中是一一个大忌, 宁愿少学-些内容, 也坚决杜绝多学-些错误的知识。 在这里插入图片描述 这种加入了惩罚函数的算法,才是最终我们代码里要介绍的简化版SMO算法,接下来我们就对其进行原理上的推导。 在这里插入图片描述 在这里插入图片描述 因此,我们的目标函数和约束条件就变成了下面的这个样子: 在这里插入图片描述 在这里插入图片描述 接下来我们对目标函数和约束条件进行进一步的化简,以便最终得出可执行的算法 在这里插入图片描述 在这里插入图片描述 在这里插入图片描述 在这里插入图片描述

简化版SMO算法

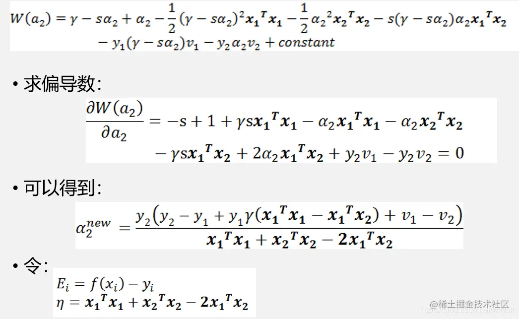
所谓的SMO算法就是序列最小最优化算法 在这里插入图片描述 在这里插入图片描述 在这里插入图片描述 在这里插入图片描述 在这里插入图片描述 在这里插入图片描述 在这里插入图片描述 在这里插入图片描述 在这里插入图片描述 在这里插入图片描述 在这里插入图片描述 在这里插入图片描述 在这里插入图片描述 在这里插入图片描述 在这里插入图片描述 在这里插入图片描述 在这里插入图片描述 该SMO函数的伪代码大致如下: 创建一个alpha向量并将其初始化为0向量 当迭代次数小于最大迭代次数时(外循环) 对数据集中的每个数据向量(内循环): 如果该数据向量可以被优化: 随机选择另外一个数据向量 同时优化这两个向量 如果两个向量都不能被优化,退出内循环 如果所有向量都没被优化,增加迭代数目,继续下一次循环

代码实现

导入数据集

def loadDataSet(fileName):
    dataMat = []; labelMat = []
    fr = open(fileName)
    for line in fr.readlines():
        lineArr = line.strip().split('\t')
        dataMat.append([float(lineArr[0]), float(lineArr[1])])
        labelMat.append(float(lineArr[2]))
    return dataMat,labelMat

选择α

def selectJrand(i,m):
    j=i #we want to select any J not equal to i
    while (j==i):
        j = int(random.uniform(0,m))
    return j

保证数据的有效性

def clipAlpha(aj,H,L):
    if aj > H: 
        aj = H
    if L > aj:
        aj = L
    return aj

简化版SMO算法

def smoSimple(dataMatIn, classLabels, C, toler, maxIter):
    dataMatrix = mat(dataMatIn); labelMat = mat(classLabels).transpose()
    b = 0; m,n = shape(dataMatrix)
    alphas = mat(zeros((m,1)))
    iter = 0
    while (iter < maxIter):
        alphaPairsChanged = 0
        for i in range(m):
            fXi = float(multiply(alphas,labelMat).T*(dataMatrix*dataMatrix[i,:].T)) + b
            Ei = fXi - float(labelMat[i])#if checks if an example violates KKT conditions
            if ((labelMat[i]*Ei < -toler) and (alphas[i] < C)) or ((labelMat[i]*Ei > toler) and (alphas[i] > 0)):
                j = selectJrand(i,m)
                fXj = float(multiply(alphas,labelMat).T*(dataMatrix*dataMatrix[j,:].T)) + b
                Ej = fXj - float(labelMat[j])
                alphaIold = alphas[i].copy(); alphaJold = alphas[j].copy();
                if (labelMat[i] != labelMat[j]):
                    L = max(0, alphas[j] - alphas[i])
                    H = min(C, C + alphas[j] - alphas[i])
                else:
                    L = max(0, alphas[j] + alphas[i] - C)
                    H = min(C, alphas[j] + alphas[i])
                if L==H: print("L==H"); continue
                eta = 2.0 * dataMatrix[i,:]*dataMatrix[j,:].T - dataMatrix[i,:]*dataMatrix[i,:].T - dataMatrix[j,:]*dataMatrix[j,:].T
                if eta >= 0: print("eta>=0"); continue
                alphas[j] -= labelMat[j]*(Ei - Ej)/eta
                alphas[j] = clipAlpha(alphas[j],H,L)
                if (abs(alphas[j] - alphaJold) < 0.00001): print("j not moving enough"); continue
                alphas[i] += labelMat[j]*labelMat[i]*(alphaJold - alphas[j])#update i by the same amount as j
                                                                        #the update is in the oppostie direction
                b1 = b - Ei- labelMat[i]*(alphas[i]-alphaIold)*dataMatrix[i,:]*dataMatrix[i,:].T - labelMat[j]*(alphas[j]-alphaJold)*dataMatrix[i,:]*dataMatrix[j,:].T
                b2 = b - Ej- labelMat[i]*(alphas[i]-alphaIold)*dataMatrix[i,:]*dataMatrix[j,:].T - labelMat[j]*(alphas[j]-alphaJold)*dataMatrix[j,:]*dataMatrix[j,:].T
                if (0 < alphas[i]) and (C > alphas[i]): b = b1
                elif (0 < alphas[j]) and (C > alphas[j]): b = b2
                else: b = (b1 + b2)/2.0
                alphaPairsChanged += 1
                print("iter: %d i:%d, pairs changed %d" % (iter,i,alphaPairsChanged))
        if (alphaPairsChanged == 0): iter += 1
        else: iter = 0
        print("iteration number: %d" % iter)
    return b,alphas