『递归概念与典型实例』

198 阅读3分钟

本文已参与「新人创作礼」活动,一起开启掘金创作之路。

👨‍🎓作者简介:一位喜欢写作,计科专业的大二菜鸟

🏡个人主页:starry陆离

🕒首发日期:2022年7月22日星期五

🌌上期文章:『算法导论』什么是算法?什么是程序?

📚订阅专栏:『算法笔记HNUCM-OJ』 如果文章有帮到你的话记得点赞👍+收藏💗支持一下哦


『递归概念与典型实例』

1.引言

1-100求和

方法1:使用循环求和 1+2+3+4+5+6+……+99+100

 伪代码:
 for i=1 to 100
    sum = sum + i

方法2:换个角度思考

 sum(n)表示1…n的和 
 ​
 sum(100) = sum(99) + 100  
 ​
 = sum(98) + 99 + 100  
 ​
 = ……  
 ​
 = sum(1) + 2 + 3 + 4 + …… + 99 + 100  
 ​
 = 1 + 2 + 3 + 4 +…… + 99 + 100

2.递归的定义

在调用一个函数的过程中又出现直接或间接调用该函数本身,称为函数的递 归(Recursion)调用,这种函数称为递归函数

  • 若p函数定义中调用p函数,称之为直接递归
  • 若p函数定义中调用q函数,而q函数定义中又调用p函数,称之为间接递归

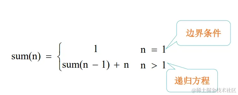
3.递归的要素

1、递归表达式 (递归方程)

2、递归结束条件 (边界条件)

image-20220702105507722

 int sum(int n){
     if(n==1)return 1;//递归结束条件
     else sum(n-1)+n;//递归表达式
 }

4.递归特点

(1) 需要解决的问题可以转化为一个或多个子问题来求解,而这些子问题的 求解方法与原问题完全相同,只是在数量规模上不同

(2) 递归调用的次数必须是有限的

(3) 必须有结束递归的条件来终止递归

5.递归的特点

(1) 定义是递归的(阶乘、斐波那契数列等)

(2) 数据结构是递归的(单链表、二叉树等)

(3) 问题的求解方法是递归的(汉诺塔、回溯法等)

6.递归的优缺点

递归的优缺点

优点:结构清晰,可读性强,而且容易用数学归纳法来证明算法的正确性, 因此它为设计算法、调试程序带来很大方便

缺点:递归算法的运行效率较低,无论是耗费的计算时间还是占用的存储空 间都比非递归算法要多

解决方法:在某些递归算法中可消除递归调用,使其转化为非递归算法

4.典型递归实例

4.1求阶乘

n!=1×2×3×……×n

image-20220702105754169

 int f(int n){
     if(n==1)return 1;//递归结束条件
     else n*f(n-1);//递归表达式
 }

4.2Fibonacci数列

斐波那契(Fibonacci)数列因数学家列奥纳多·斐波那 契以兔子繁殖为例引入,故又称为 “兔子数列”

image-20220702110237010

image-20220702110312604

 int fibonacci(int n){
     if(n<=1)return 1;//递归结束条件
     return fibonacci(n-1)+fibonacci(n-2);//递归表达式
 }

4.3青蛙跳台阶

一只青蛙一次可以跳上1级台阶,也可以跳上2级。

  • 求该青蛙跳上一个n级的台阶总共有多少种跳法?

就是fibonacci的变形题,读者可自行实现