2. 两数相加

104 阅读1分钟

好青年 | leetcode 打卡群 - 打卡记录第 十八 天

给定单链表的头节点 head ,将所有索引为奇数的节点和索引为偶数的节点分别组合在一起,然后返回重新排序的列表。

第一个节点的索引被认为是 奇数 , 第二个节点的索引为 偶数 ,以此类推。 请注意,偶数组和奇数组内部的相对顺序应该与输入时保持一致。 你必须在 O(1) 的额外空间复杂度和 O(n) 的时间复杂度下解决这个问题。

  示例 1:

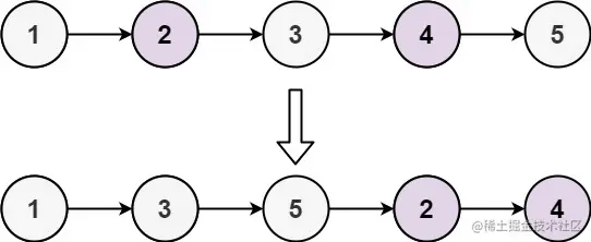
输入: head = [1,2,3,4,5]
输出: [1,3,5,2,4]

示例 2:

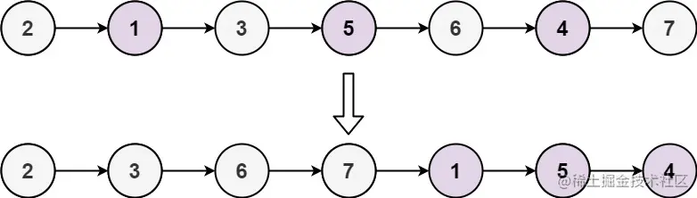
输入: head = [2,1,3,5,6,4,7]
输出: [2,3,6,7,1,5,4]
/**
 * Definition for singly-linked list.
 * function ListNode(val, next) {
 *     this.val = (val===undefined ? 0 : val)
 *     this.next = (next===undefined ? null : next)
 * }
 */
/**
 * @param {ListNode} head
 * @return {ListNode}
 */
var oddEvenList = function (head) {
    if (head === null) {
        return head;
    }
    
    let evenHead = head.next;
    let odd = head, even = evenHead;
    while (even !== null && even.next !== null) {
        odd.next = even.next;
        odd = odd.next;
        even.next = odd.next;
        even = even.next;
    }
    odd.next = evenHead;
    return head;
};