【综合笔试题】难度 3.5/5,多解法热门二叉树笔试题

1,478 阅读4分钟

题目描述

这是 LeetCode 上的 987. 二叉树的垂序遍历 ,难度为 困难

Tag : 「数据结构运用」、「二叉树」、「哈希表」、「排序」、「优先队列(堆)」、「DFS」

给你二叉树的根结点 root ,请你设计算法计算二叉树的 垂序遍历 序列。

对位于 (row,col)(row, col) 的每个结点而言,其左右子结点分别位于 (row+1,col1)(row + 1, col - 1) 和 (row+1,col+1)(row + 1, col + 1) 。树的根结点位于 (0,0)(0, 0)

二叉树的 垂序遍历 从最左边的列开始直到最右边的列结束,按列索引每一列上的所有结点,形成一个按出现位置从上到下排序的有序列表。如果同行同列上有多个结点,则按结点的值从小到大进行排序。

返回二叉树的 垂序遍历 序列。

示例 1:

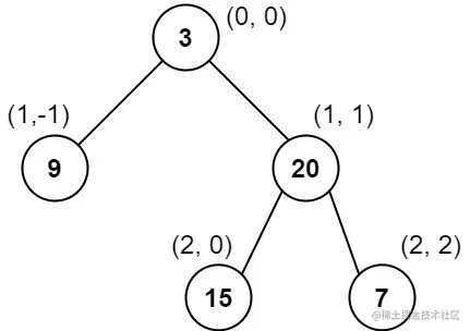
输入:root = [3,9,20,null,null,15,7]

输出:[[9],[3,15],[20],[7]]

解释:
列 -1 :只有结点 9 在此列中。
列  0 :只有结点 3 和 15 在此列中,按从上到下顺序。
列  1 :只有结点 20 在此列中。
列  2 :只有结点 7 在此列中。

示例 2:

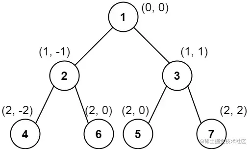
输入:root = [1,2,3,4,5,6,7]

输出:[[4],[2],[1,5,6],[3],[7]]

解释:
列 -2 :只有结点 4 在此列中。
列 -1 :只有结点 2 在此列中。
列  0 :结点 1 、5 和 6 都在此列中。
          1 在上面,所以它出现在前面。
          5 和 6 位置都是 (2, 0) ,所以按值从小到大排序,5 在 6 的前面。
列  1 :只有结点 3 在此列中。
列  2 :只有结点 7 在此列中。

示例 3:

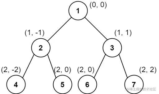
输入:root = [1,2,3,4,6,5,7]

输出:[[4],[2],[1,5,6],[3],[7]]

解释:
这个示例实际上与示例 2 完全相同,只是结点 5 和 6 在树中的位置发生了交换。
因为 5 和 6 的位置仍然相同,所以答案保持不变,仍然按值从小到大排序。

提示:

  • 树中结点数目总数在范围 [1,10][1, 10]

DFS + 哈希表 + 排序

根据题意,我们需要按照优先级「“列号从小到大”,对于同列节点,“行号从小到大”,对于同列同行元素,“节点值从小到大”」进行答案构造。

因此我们可以对树进行遍历,遍历过程中记下这些信息 (col,row,val)(col, row, val),然后根据规则进行排序,并构造答案。

我们可以先使用「哈希表」进行存储,最后再进行一次性的排序。

代码:

class Solution {
    Map<TreeNode, int[]> map = new HashMap<>(); // col, row, val
    public List<List<Integer>> verticalTraversal(TreeNode root) {
        map.put(root, new int[]{0, 0, root.val});
        dfs(root);
        List<int[]> list = new ArrayList<>(map.values());
        Collections.sort(list, (a, b)->{
            if (a[0] != b[0]) return a[0] - b[0];
            if (a[1] != b[1]) return a[1] - b[1];
            return a[2] - b[2];
        });
        int n = list.size();
        List<List<Integer>> ans = new ArrayList<>();
        for (int i = 0; i < n; ) {
            int j = i;
            List<Integer> tmp = new ArrayList<>();
            while (j < n && list.get(j)[0] == list.get(i)[0]) tmp.add(list.get(j++)[2]);
            ans.add(tmp);
            i = j;
        }
        return ans;
    }
    void dfs(TreeNode root) {
        if (root == null) return ;
        int[] info = map.get(root);
        int col = info[0], row = info[1], val = info[2];
        if (root.left != null) {
            map.put(root.left, new int[]{col - 1, row + 1, root.left.val});
            dfs(root.left);
        }
        if (root.right != null) {
            map.put(root.right, new int[]{col + 1, row + 1, root.right.val});
            dfs(root.right);
        }
    }
}
  • 时间复杂度:令总节点数量为 nn,填充哈希表时进行树的遍历,复杂度为 O(n)O(n);构造答案时需要进行排序,复杂度为 O(nlogn)O(n\log{n})。整体复杂度为 O(nlogn)O(n\log{n})
  • 空间复杂度:O(n)O(n)

DFS + 优先队列(堆)

显然,最终要让所有节点的相应信息有序,可以使用「优先队列(堆)」边存储边维护有序性。

代码:

class Solution {
    PriorityQueue<int[]> q = new PriorityQueue<>((a, b)->{ // col, row, val
        if (a[0] != b[0]) return a[0] - b[0];
        if (a[1] != b[1]) return a[1] - b[1];
        return a[2] - b[2];
    });
    public List<List<Integer>> verticalTraversal(TreeNode root) {
        int[] info = new int[]{0, 0, root.val};
        q.add(info);
        dfs(root, info);
        List<List<Integer>> ans = new ArrayList<>();
        while (!q.isEmpty()) {
            List<Integer> tmp = new ArrayList<>();
            int[] poll = q.peek();
            while (!q.isEmpty() && q.peek()[0] == poll[0]) tmp.add(q.poll()[2]);
            ans.add(tmp);
        }
        return ans;
    }
    void dfs(TreeNode root, int[] fa) {
        if (root.left != null) {
            int[] linfo = new int[]{fa[0] - 1, fa[1] + 1, root.left.val};
            q.add(linfo);
            dfs(root.left, linfo);
        }
        if (root.right != null) {
            int[] rinfo = new int[]{fa[0] + 1, fa[1] + 1, root.right.val};
            q.add(rinfo);
            dfs(root.right, rinfo);
        }
    }
}
  • 时间复杂度:令总节点数量为 nn,将节点信息存入优先队列(堆)复杂度为 O(nlogn)O(n\log{n});构造答案复杂度为 O(nlogn)O(n\log{n})。整体复杂度为 O(nlogn)O(n\log{n})
  • 空间复杂度:O(n)O(n)

DFS + 哈希嵌套 + 排序

当然,如果想锻炼一下自己的代码能力,不使用三元组 (col,row,val)(col, row, val) 进行存储,而是使用哈希表嵌套,也是可以的。

用三个「哈希表」来记录相关信息:

  1. 使用 node2rownode2col 分别用来记录「节点到行」&「节点到列」的映射关系,并实现 dfs1 对树进行遍历,目的是为了记录下相关的映射关系;

  2. 使用 col2row2nodes 记录「从列到行,从行到节点集」的映射关系,具体的存储格式为 {col : {row : [node1, node2, ... ]}},实现 dfs2 再次进行树的遍历,配合之前 node2rownode2col信息,填充 col2row2nodes 的映射关系;

  3. 按照题意,按「列号从小到大」,对于同列节点,按照「行号从小到大」,对于同列同行元素,按照「节点值从小到大」的规则,使用 col2row2nodes + 排序 构造答案。

注意:本解法可以只进行一次树的遍历,分两步主要是不想 dfs 操作过于复杂,加大读者的阅读难度,于是在拆开不影响复杂度上界的情况,选择了分两步。

代码:

class Solution {
    Map<TreeNode, Integer> node2col = new HashMap<>(), node2row = new HashMap<>();
    Map<Integer, Map<Integer, List<Integer>>> col2row2nodes = new HashMap<>();
    public List<List<Integer>> verticalTraversal(TreeNode root) {
        List<List<Integer>> ans = new ArrayList<>();
        node2col.put(root, 0);
        node2row.put(root, 0);
        dfs1(root);
        dfs2(root);
        List<Integer> cols = new ArrayList<>(col2row2nodes.keySet());
        Collections.sort(cols);
        for (int col : cols) {
            Map<Integer, List<Integer>> row2nodes = col2row2nodes.get(col);
            List<Integer> rows = new ArrayList<>(row2nodes.keySet());
            Collections.sort(rows);
            List<Integer> cur = new ArrayList<>();
            for (int row : rows) {
                List<Integer> nodes = row2nodes.get(row);
                Collections.sort(nodes);
                cur.addAll(nodes);
            }
            ans.add(cur);
        }
        return ans;
    }
    // 树的遍历,根据「节点到列」&「节点到行」的映射关系,构造出「从列到行,从行到节点集」的映射关系
    void dfs2(TreeNode root) {
        if (root == null) return ;
        int col = node2col.get(root), row = node2row.get(root);
        Map<Integer, List<Integer>> row2nodes = col2row2nodes.getOrDefault(col, new HashMap<>());
        List<Integer> nodes = row2nodes.getOrDefault(row, new ArrayList<>());
        nodes.add(root.val);
        row2nodes.put(row, nodes);
        col2row2nodes.put(col, row2nodes);
        dfs2(root.left);
        dfs2(root.right);
    }
    // 树的遍历,记录下「节点到列」&「节点到行」的映射关系
    void dfs1(TreeNode root) {
        if (root == null) return ;
        if (root.left != null) {
            int col = node2col.get(root);
            node2col.put(root.left, col - 1);
            int row = node2row.get(root);
            node2row.put(root.left, row + 1);
            dfs1(root.left);
        }
        if (root.right != null) {
            int col = node2col.get(root);
            node2col.put(root.right, col + 1);
            int row = node2row.get(root);
            node2row.put(root.right, row + 1);
            dfs1(root.right);
        }
    }
}
  • 时间复杂度:令总的节点数量为 nn,填充几个哈希表的复杂度为 O(n)O(n);构造答案时需要对行号、列号和节点值进行排序,总的复杂度上界为 O(nlogn)O(n\log{n})。整体复杂度为 O(nlogn)O(n\log{n})
  • 空间复杂度:O(n)O(n)

最后

这是我们「刷穿 LeetCode」系列文章的第 No.987 篇,系列开始于 2021/01/01,截止于起始日 LeetCode 上共有 1916 道题目,部分是有锁题,我们将先把所有不带锁的题目刷完。

在这个系列文章里面,除了讲解解题思路以外,还会尽可能给出最为简洁的代码。如果涉及通解还会相应的代码模板。

为了方便各位同学能够电脑上进行调试和提交代码,我建立了相关的仓库:github.com/SharingSour…

在仓库地址里,你可以看到系列文章的题解链接、系列文章的相应代码、LeetCode 原题链接和其他优选题解。

我正在参与掘金技术社区创作者签约计划招募活动,点击链接报名投稿