【人工智能】机器学习及与智能数据处理Python使用朴素贝叶斯算法对垃圾短信数据集进行分类

1,167 阅读3分钟

本文已参与「新人创作礼」活动, 一起开启掘金创作之路。

朴素贝叶斯算法

输入:样本集合D={(x_1,y_1),(x_2,y_2)(x_m,y_m); 待预测样本x; 样本标记的所有可能取值{c_1,c_2,c_3c_k}; 样本输入变量X的每个属性变量X^i的所有可能取值{a_i1,a_i2,~,a_iAi}; 输出:待预测样本x所属的类别
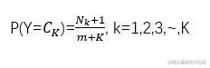
1.计算标记为c_k的样本出现概率。 在这里插入图片描述

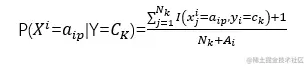
2.计算标记c_k的样本,其X^i分量的属性值为a_ip的概率。

在这里插入图片描述

3.根据上面的估计值计算x属于y_k的概率值,并选择概率最大的作为输出。

在这里插入图片描述

1.使用sklearn的朴素贝叶斯算法对垃圾短信数据集进行分类

要求:

(1)划分训练集和测试集(测试集占20%) (2)对测试集的预测类别标签和真实标签进行对比 (3)掌握特征提取方法 (4)输出分类的准确率

代码:

from sklearn.feature_extraction.text import CountVectorizer as CV
from sklearn.model_selection import train_test_split
from sklearn.naive_bayes import MultinomialNB as NB
import pandas as pd
# 加载SMS垃圾短息数据集
with open('SMSSpamCollection.txt', 'r', encoding='utf8') as f:
    sms = [line.split('\t') for line in f]
y, x = zip(*sms)
# SMS垃圾短息数据集的特征提取
y = [label == 'spam' for label in y]
x_train, x_test, y_train, y_test = train_test_split(x, y, test_size=0.2, random_state=0)
counter = CV(token_pattern='[a-zA-Z]{2,}')
x_train = counter.fit_transform(x_train)
x_test = counter.transform(x_test)
# 朴素贝叶斯分类器的构造与训练
model = NB()
model.fit(x_train, y_train)
train_score = model.score(x_train, y_train)
test_score = model.score(x_test, y_test)
print('train score:', train_score)
print('test score:', test_score)
# 对测试集的预测类别标签和真实标签进行对比
y_predict = model.predict(x_test)
print('测试集的预测类别标签与真实标签的对比:\n', pd.concat([pd.DataFrame(x_test), pd.DataFrame(y_test), pd.DataFrame(y_predict)], axis=1))

结果:

在这里插入图片描述

2.自己写朴素贝叶斯算法对垃圾短信数据集进行分类

代码:

# coding = utf-8
import pandas as pd
import numpy as np
import random
import math


class bayesianClassifier(object):
    def __init__(self, ratio=0.7):

        self.trainset = []
        self.testset = []
        self.ratio = ratio

    def loadData(self, filepath):
        """
        :param filepath: csv
        :return: list
        """
        data_df = pd.read_csv(filepath)
        data_list = np.array(data_df).tolist()
        print("Loaded {0} samples secessfully.".format(len(data_list)))
        self.trainset, self.testset = self.splitData(data_list)
        return data_list

    def splitData(self, data_list):
        """
        :param data_list:all data with list type
        :param ratio: train date's ratio
        :return: list type of trainset and testset
        """
        train_size = int(len(data_list) * self.ratio)
        random.shuffle(data_list)
        self.trainset = data_list[:train_size]
        self.testset = data_list[train_size:]
        return self.trainset, self.testset

    def seprateByClass(self, dataset):
        """
        :param dataset: train data with list type
        :return: seprate_dict:separated data by class;
                info_dict:Number of samples per class(category)
        """
        seprate_dict = {}
        info_dict = {}
        for vector in dataset:
            if vector[-1] not in seprate_dict:
                seprate_dict[vector[-1]] = []
                info_dict[vector[-1]] = 0
            seprate_dict[vector[-1]].append(vector)
            info_dict[vector[-1]] += 1
        return seprate_dict, info_dict

    def mean(self, number_list):
        number_list = [float(x) for x in number_list]  # str to number
        return sum(number_list) / float(len(number_list))

    def var(self, number_list):
        number_list = [float(x) for x in number_list]
        avg = self.mean(number_list)
        var = sum([math.pow((x - avg), 2) for x in number_list]) / float(len(number_list) - 1)
        return var

    def summarizeAttribute(self, dataset):
        """
        calculate mean and var of per attribution in one class
        :param dataset: train data with list type
        :return: len(attribution)'s tuple ,that's (mean,var)  with per attribution
        """
        dataset = np.delete(dataset, -1, axis=1)  # delete label
        summaries = [(self.mean(attr), self.var(attr)) for attr in zip(*dataset)]
        return summaries

    def summarizeByClass(self, dataset):
        """
        calculate all class with per attribution
        :param dataset: train data with list type
        :return: num:len(class)*len(attribution)
                {class1:[(mean1,var1),(),...],class2:[(),(),...]...}
        """
        dataset_separated, dataset_info = self.seprateByClass(dataset)
        summarize_by_class = {}
        for classValue, vector in dataset_separated.items():
            summarize_by_class[classValue] = self.summarizeAttribute(vector)
        return summarize_by_class

    def calulateClassPriorProb(self, dataset, dataset_info):
        """
        calculate every class's prior probability
        :param dataset: train data with list type
        :param dataset_info: Number of samples per class(category)
        :return: dict type with every class's prior probability
        """
        dataset_prior_prob = {}
        sample_sum = len(dataset)
        for class_value, sample_nums in dataset_info.items():
            dataset_prior_prob[class_value] = sample_nums / float(sample_sum)
        return dataset_prior_prob

    def calculateProb(self, x, mean, var):
        """
        Continuous value using probability density function as class conditional probability
        :param x: one sample's one attribution
        :param mean: trainset's one attribution's mean
        :param var: trainset's one attribution's var
        :return: one sample's one attribution's class conditional probability
        """
        exponent = math.exp(math.pow((x - mean), 2) / (-2 * var))
        p = (1 / math.sqrt(2 * math.pi * var)) * exponent
        return p

    def calculateClassProb(self, input_data, train_Summary_by_class):
        """
        calculate class conditional probability through multiply
        every attribution's class conditional probability per class
        :param input_data: one sample vectors
        :param train_Summary_by_class: every class with every attribution's (mean,var)
        :return: dict type , class conditional probability per class of this input data belongs to which class
        """
        prob = {}
        p = 1
        for class_value, summary in train_Summary_by_class.items():
            prob[class_value] = 1
            for i in range(len(summary)):
                mean, var = summary[i]
                x = input_data[i]
                p = self.calculateProb(x, mean, var)
            prob[class_value] *= p
        return prob

    def bayesianPredictOneSample(self, input_data):
        """
        :param input_data: one sample without label
        :return: predicted class
        """
        train_separated, train_info = self.seprateByClass(self.trainset)
        prior_prob = self.calulateClassPriorProb(self.trainset, train_info)
        train_Summary_by_class = self.summarizeByClass(self.trainset)
        classprob_dict = self.calculateClassProb(input_data, train_Summary_by_class)
        result = {}
        for class_value, class_prob in classprob_dict.items():
            p = class_prob * prior_prob[class_value]
            result[class_value] = p
        return max(result, key=result.get)

    def calculateAccByBeyesian(self, ratio=0.7):
        """
        :param dataset: list type,test data
        :return: acc
        """
        self.ratio = ratio
        correct = 0
        for vector in self.testset:
            input_data = vector[:-1]
            label = vector[-1]
            result = self.bayesianPredictOneSample(input_data)
            if result == label:
                correct += 1
        return correct / len(self.testset)


if __name__ == "__main__":
    bys = bayesianClassifier()
    data_samples = bys.loadData('IrisData.csv')
    print("Accuracy is:", bys.calculateAccByBeyesian(ratio=0.7))

结果:

在这里插入图片描述