神经网络基础篇十一

181 阅读8分钟

承接上文神经网络基础篇十

简介

本文介绍下,使用Keras工具包、LSTM网络,进行一个时间序列的预测(比如股票走势预测)

时间序列数据

image.png

每个时间点产生不同的数据,每个数据之间没有相关性,可以用卷机神经网络CNN或传统的神经网络来计算。

若t2时刻的数据随着t1时刻产生数据的变化而变化,t3时刻的数据被t1和t2时刻产生的数据所影响,即前面的数据对后面的数据产生影响,这种彼此之间有相关性的数据需要用递归神经网络RNN来计算。

训练数据

image.png

image.png

每个数据组成了一个正弦曲线,即曲线上的每个点是由表格中的数据组成的

image.png

如何根据前面的数据预测接下来的数据,比如知道上图0-50之间的数据,预测第51个数据;知道1-51之间的数据,预测第52个数据

image.png

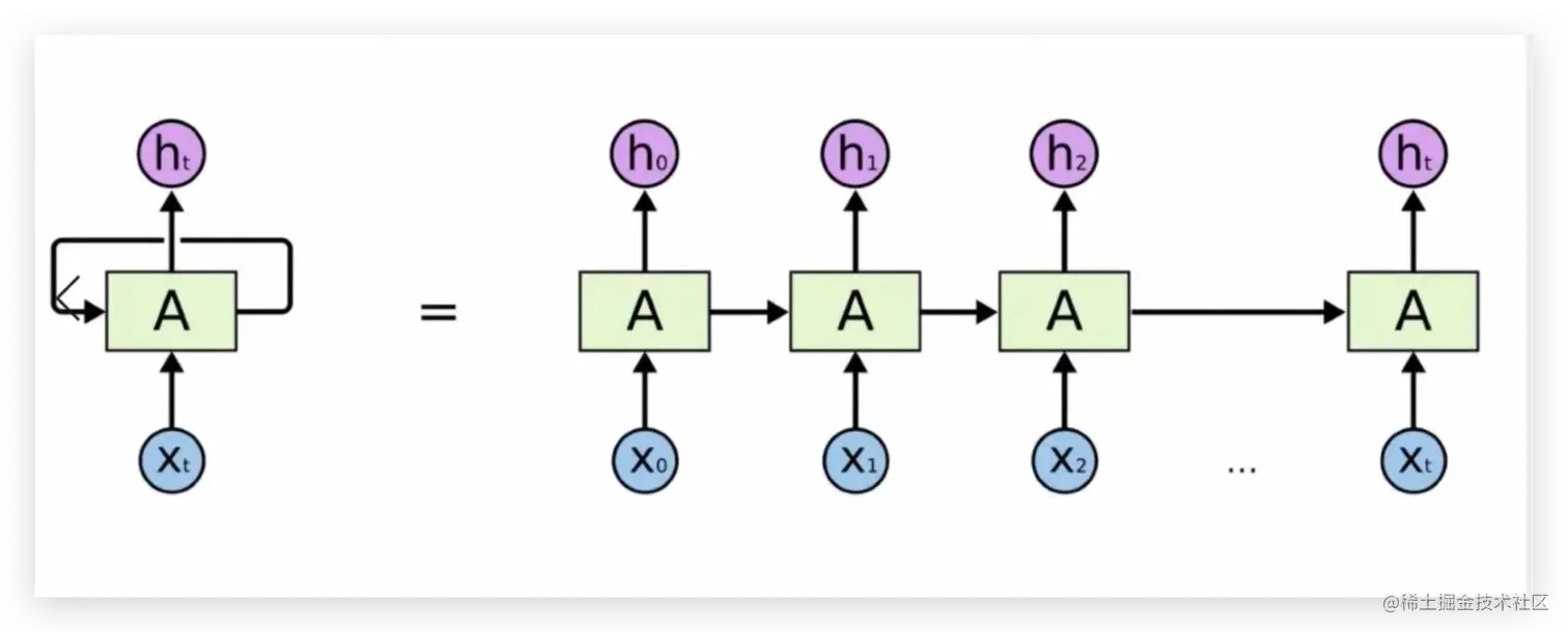
这是RNN网络结构图,结合训练数据image.png

每次输入的序列大小要一致,即第一次输入序列长度为20的,后面每一次输入都需是长度20的序列数据,x0到xt就是一个序列数据。

比如序列长度为50,即对应表格中从上到下的50个数据,每个数据都是一个1维的数值,表示成[N,50,1];如果数据是文字,比如“我们”,将文本转换成300维的向量,则表示成[N,50,300]。

RNN网络模型的整体定义

image.png

这个是RNN的网络结构,输入层的数据是序列长度是49,每个序列是一个数值,然后经过一次LSTM(转换成了50维度的向量,是中间结果,中间结果有时候不重要,只需要关注最终输出结果即可),然后Dropout1,然后第二次LSTM(转换成了100维度的向量),然后第二次Dropout,最后是全连接层计算(输出一个一维的数据,一个值)。输入0-49个数据,预测第51个数据。这是一个回归任务,预测一个值。

config.json文件

image.pngimage.png

所有的参数和网络结构的定义都在这个json文件中,从上至下说明:

数据属性

  • filename 数据所在的文件名称
  • 读取文件中的哪些列
  • 序列长度是50
  • 训练数据占0.8,验证集数据占0.2
  • normalise 是否归一化(预处理)

模型数据

  • loss mse均方误差通常作为回归模型的损失函数
  • optimizer 优化器
  • save_dir 模型保存位置
  • layers RNN模型每一层定义

image.png

每一层都是一一对应的

  • type lstm or dropout
  • neurons 隐层神经元的数量
  • input_timestaps 时间序列长度
  • input_dia 输入数据的维度 比如第一次lstm 输入序列长度为49,1维的数值数据,输出序列长度是49和50维度的向量
  • return_seq 是否返回整个序列的结果 第一次lstm返回了整个序列的结果,所以设置为true,第二次lstm返回了一个值,所以设置为false

读取json文件配置

image.png

读取数据

image.png

数据初始化

image.png

读取到数据,第一列是索引,第二列是实际的值

image.png

因训练:验证=0.8:0.2=4,所以训练数据有4000条,验证数据是1000条

image.png

这是4000条数据训练,

image.png

这是1000条验证数据

构建网络模型-初始化模型对象

image.pngimage.png

构建模型

image.png

image.png

读取json文件配置,一层一层的构建网络结构,for循环json文件网络结构的定义

初始化第一次层

image.png

第一层是LSTM层

image.png

image.png

第二层dropout

image.pngimage.png

依次将所有层都初始化好之后,整个模型就定义好了

image.png

将定义好的模型保存。模型有了,接下来加载数据

image.pngimage.png

  • 入参seq_len序列长度是50
  • range(self.len_train-seq_len) 表示计算有多少个长度为50的序列 4000-50=3950个,因为最后一个序列不能越界,到最后一个序列之后,就没法再往后移动了image.png
  • next_window是滑动窗口

image.png

image.png

  • i 为开始位置0
  • seq_len序列长度50
  • normalise 为false 即不做归一化处理

image.png

获取到第一个窗口0-49之间的数据

image.png

判断是否需要归一化处理,因为这些数据本来就是0-1之间的,所以不需要归一化

  • 前49个数据是输入,最后一个即第50个数据是输出

image.png

经过一个for循环,就可以得到第一个窗口的数据

image.png

以此类推,得到所有窗口的序列数据

image.png

一共得到3095个窗口的序列数据

image.png

输入数据x是有3095个窗口,每个窗口有49个数据,1维的数值数据;输出数据y,每个窗口一个输出数据,共3095个输出数据,每个输出数据是一维的数值。

模型训练

有了模型和数据,就可以训练了

image.png

image.png

  • EarlyStopping
    比如loss下下降的过程中,基本饱和了,没有太大变化了

image.png

右侧的loss曲线平了,800和1万没有什么区别了,就可以提前终止

image.pngimage.png

  • ModelCheckpoint
    监视val_loss指标,如果连续2次没有变化,就停止训练
  • save_best_only 每个epoch都会选择训练最好的模型保存

模型训练

image.png

获取并展示测试结果

image.png

image.png

预测结果和实际结果整体是吻合的

股票数据预测

image.png

这是一份真实的股票数据,包含开盘价、最高价、最低价、收盘价、交易量

配置json文件

image.png

image.png

  • filename 读取股票数据
  • 读取收盘价Close列数据
  • 3个LSTM层
  • 不对输入数据做归一化处理

image.png

使用mse做损失计算,输入数据的数值越大,loss值越大,对于回归任务来说,不要觉着loss值越大,训练的效果就不好,而是相对的去比较,不像分类任务有准确率,可以直接来进行对比。

绘图展示结果

image.png

image.png

image.png

可以看到预测成了一条直线,说明网络什么都没有学到,原因是数值浮动范围大,没有具体的走势,像是随机数,怎样才能看到走势?第二天的数据相对第一天的,第三天的数据相对第一天的....,让模型记录相对变化的趋势,而不是只看具体的值。

对输入数据做预处理(归一化)

image.png

网络结构图

image.png

image.pngimage.png

image.png

  • config配置了输入数据是一个Close列,也可以配置多个列,这里分别对每个列进行归一化处理(for循环)
  • shape 0是行,1是列,对每一列都进行归一化操作
  • window[:,col_i] 获取当前列的所有数据
  • 对当前列的每一个数据进行这样的操作:转换成数值类型,然后每一个数据除以当前列的第一个数据,然后-1,获取每个值相对序列中第一个值的相对变化的趋势

image.png

学习到每个值针对第一个值相对变化的趋势之后,再将二维数据转换成一个列数据,

image.pngimage.png

image.png

  • predict_sequences_multiple 基于已有序列,预测后面连续50点的序列,跟之前正弦函数的预测是一样的即根据前50个数据预测后50个数据

    image.png

    这个预测效果就不太好了,输入0-50的数据,预测51-100的数据,上图只是预测出了一个大概的趋势,还有几处预测错了,比如图中标红的地方实际数据是上升,预测成下降了(一个序列一个序列的预测)

  • predict_point_by_point 点对点的预测即一个长度序列预测一个点即根据前49个数据预测第50个数据(一个点一个点的预测)

image.png

所以用LSTM预测一个点还是可以的,但预测一个时间长度的序列,难度就大了

两列的输入数据

image.png

网络结构图

image.png

输入层输入数据是序列长度是49,每个长度序列中的2个值,预测的最终结果还是一个值。传入多个指标,预测的效果不一定好

一个点一个点的预测

image.png

红色圈的地方显示二个指标拟合的好一些,蓝色圈住的地方显示1个指标拟合的好一些

一个序列一个序列的预测

image.png

差距就非常大了,所以点对点比较容易,预测序列的还要用到之前预测的结果,效果就没有预测一个点那么直接了。