来数据分析小超市逛逛

430 阅读1分钟

我把大量的绘图代码都陆续上架到我的微信小店了,目前包括:KEGG/GO富集分析,条形图+气泡图+网络图; 转录因子-靶基因互作网络;环状热图; 多组别boxplot批量统计差异绘图;网络药理学分析工具。以上封装的代码包括:案例数据+操作使用视频+即拿即用的代码。后面更多的绘图代码我会逐步上架,以及统计建模网页端部署,爬虫,软件开发等。下面是部分绘图结果:

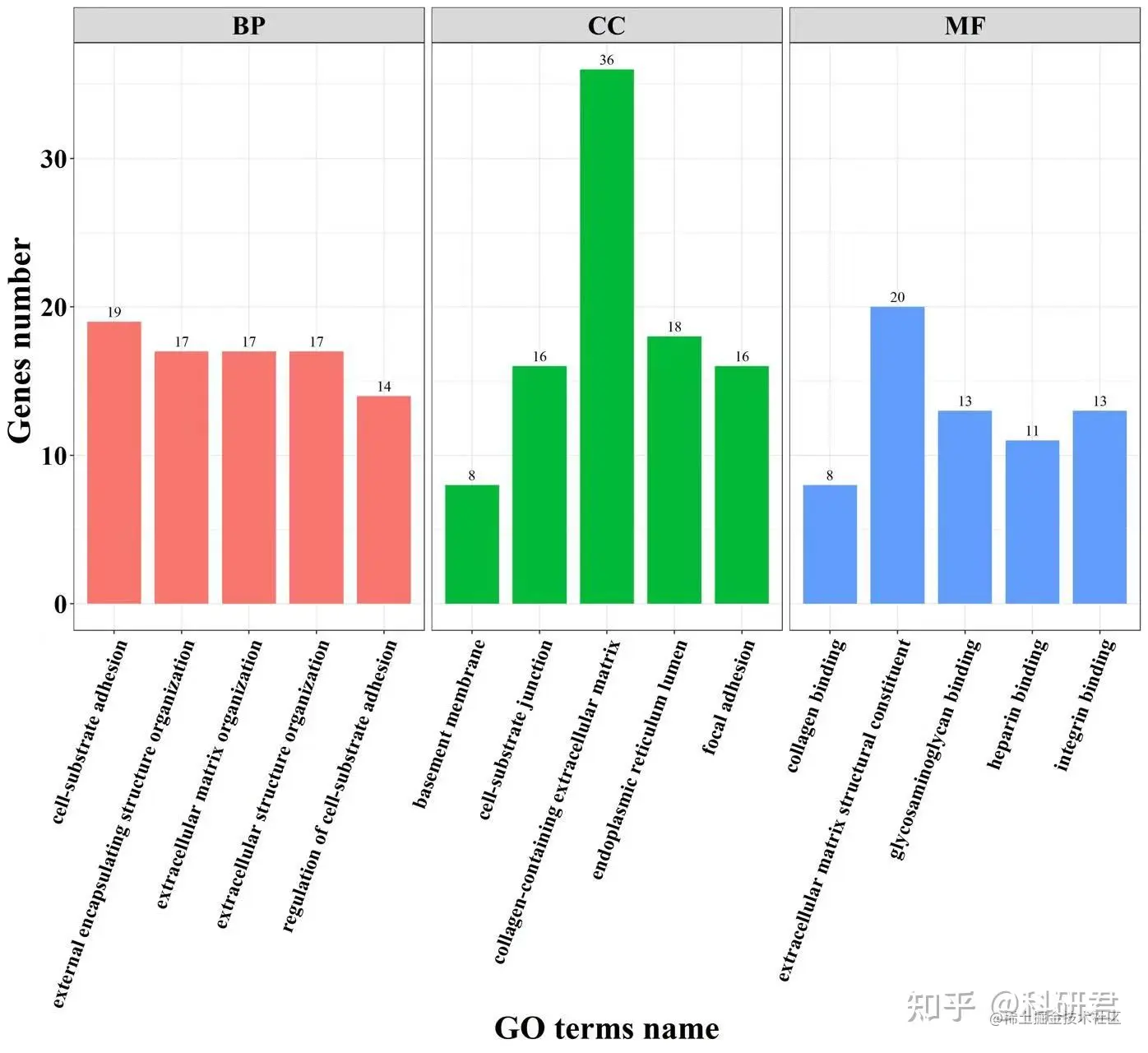
GO条形图

KEGG气泡图

GO/KEGG网络图

环状热图

转录因子-靶基因网络图

Boxplot差异统计分析

网络药理学分析工具

需要的小伙伴可以私聊我哈!需要的小伙伴可以私聊我哈!需要的小伙伴可以私聊我哈!