第5讲:一元函数微分学

147 阅读1分钟

第5讲:一元函数微分学的应用


题集星级相关考点
例5-2★★★函数的极值点、拐点
例5-5★★拉格朗日中值定理
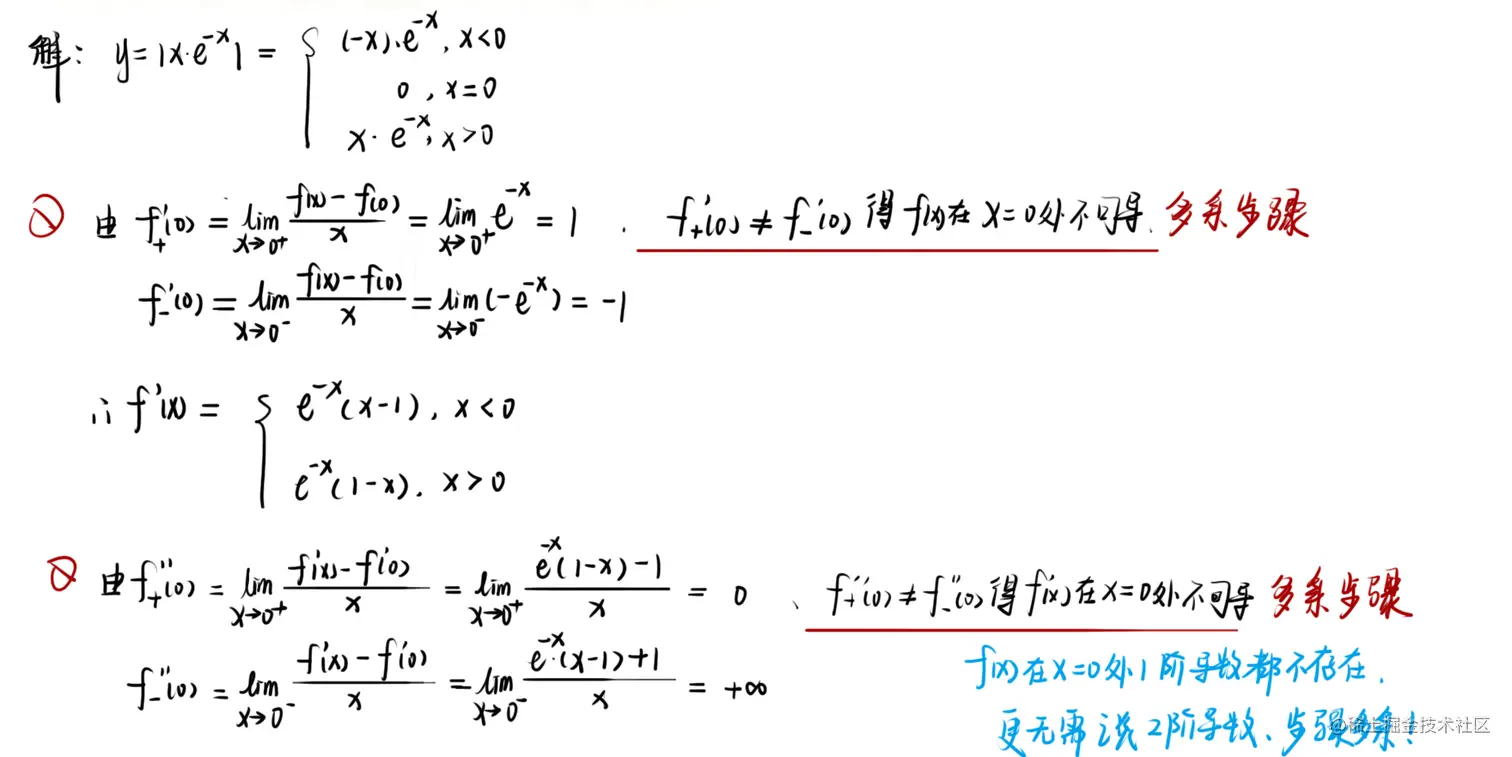
例5-8★★★考查函数连续、导数的定义
例5-2

image-20220715164219225.png

image-20220715164241174.png

image-20220715164259508.png

image-20220715164314309.png

image-20220715164412155.png

例5-5

image-20220715164426985.png

例5-8

image-20220715164516807.png

image-20220715164537344.png