Vue面试准备

254 阅读9分钟

1. v-if和v-for哪个优先级更高?如果两个同时出现,应该怎么优化得 到更好的性能?

1. 显然v-for优先于v-if被解析(把你是怎么知道的告诉面试官)
2. 如果同时出现,每次渲染都会先执行循环再判断条件,无论如何循环都不可避免,浪费了性能 
3. 要避免出现这种情况,则在外层嵌套template,在这一层进行v-if判断,然后在内部进行v-for循环
4. 如果条件出现在循环内部,可通过计算属性提前过滤掉那些不需要显示的项

2. Vue组件data为什么必须是个函数而Vue的根实例则没有此限制

Vue组件可能存在多个实例,如果使用对象形式定义data,则会导致它们共用一个data对象,那么状态 变更将会影响所有组件实例,这是不合理的;采用函数形式定义,在initData时会将其作为工厂函数返 回全新data对象,有效规避多实例之间状态污染问题。而在Vue根实例创建过程中则不存在该限制,也 是因为根实例只能有一个,不需要担心这种情况。

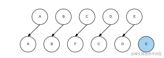
3.vue中key的作用和工作原理吗?说说你对它的理解

image.png

image.png

// 首次循环patch A 
A B C D E
A B F C D E
// 第2次循环patch B
B C D E 
B F C D E
// 第3次循环patch E
C D E
F C D E
// 第4次循环patch D
C D 
F C D
// 第5次循环patch C
C
F C
// oldCh全部处理结束,newCh中剩下的F,创建F并插入到C前面
  1. key的作用主要是为了高效的更新虚拟DOM,其原理是vue在patch过程中通过key可以精准判断两 个节点是否是同一个,从而避免频繁更新不同元素,使得整个patch过程更加高效,减少DOM操 作量,提高性能。
  2. 另外,若不设置key还可能在列表更新时引发一些隐蔽的bug
  3. vue中在使用相同标签名元素的过渡切换时,也会使用到key属性,其目的也是为了让vue可以区分它们,否则vue只会替换其内部属性而不会触发过渡效果。

Diff算法

image.png

  1.diff算法是虚拟DOM技术的必然产物:通过新旧虚拟DOM作对比(即diff),将变化的地方更新在真 实DOM上;另外,也需要diff高效的执行对比过程,从而降低时间复杂度为O(n)。
  2.vue 2.x中为了降低Watcher粒度,每个组件只有一个Watcher与之对应,只有引入diff才能精确找到 发生变化的地方
  3.vue中diff执行的时刻是组件实例执行其更新函数时,它会比对上一次渲染结果oldVnode和新的渲染 结果newVnode,此过程称为patch。
  4.diff过程整体遵循深度优先、同层比较的策略;两个节点之间比较会根据它们是否拥有子节点或者文 本节点做不同操作;比较两组子节点是算法的重点,首先假设头尾节点可能相同做4次比对尝试,如果 没有找到相同节点才按照通用方式遍历查找,查找结束再按情况处理剩下的节点;借助key通常可以非 常精确找到相同节点,因此整个patch过程非常高效。

谈一谈对vue组件化的理解

  1. 组件是独立和可复用的代码组织单元。组件系统是 Vue 核心特性之一,它使开发者使用小型、独 立和通常可复用的组件构建大型应用;
  2. 组件化开发能大幅提高应用开发效率、测试性、复用性等;
  3. 组件使用按分类有:页面组件、业务组件、通用组件;
  4. vue的组件是基于配置的,我们通常编写的组件是组件配置而非组件,框架后续会生成其构造函 数,它们基于VueComponent,扩展于Vue;
  5. vue中常见组件化技术有:属性prop,自定义事件,插槽等,它们主要用于组件通信、扩展等;
  6. 合理的划分组件,有助于提升应用性能;
  7. 组件应该是高内聚、低耦合的;
  8. 遵循单向数据流的原则

谈一谈对vue设计原则的理解

  1. 渐进式JavaScript框架: 与其它大型框架不同的是,Vue 被设计为可以自底向上逐层应用。Vue 的核心库只关注视图层,不仅易 于上手,还便于与第三方库或既有项目整合。另一方面,当与现代化的工具链以及各种支持类库结合使 用时,Vue 也完全能够为复杂的单页应用提供驱动。

  2. 易用性; vue提供数据响应式、声明式模板语法和基于配置的组件系统等核心特性。这些使我们只需要关注应用 的核心业务即可,只要会写js、html和css就能轻松编写vue应用。  

  3. 灵活性;渐进式框架的大优点就是灵活性,如果应用足够小,我们可能仅需要vue核心特性即可完成功能;随 着应用规模不断扩大,我们才可能逐渐引入路由、状态管理、vue-cli等库和工具,不管是应用体积还是 学习难度都是一个逐渐增加的平和曲线。

  4. 高效性;超快的虚拟 DOM 和 diff 算法使我们的应用拥有佳的性能表现。 追求高效的过程还在继续,vue3中引入Proxy对数据响应式改进以及编译器中对于静态内容编译的改进 都会让vue更加高效。

vue为什么要求组件模版只能有一个根元素?

  1. 实例化Vue时 Vue其实并不知道哪一个才是我们的入口。如果同时设置了多个入口,那么vue就不知道哪一个才是这个‘类’
  2. 在webpack搭建的vue开发环境下,使用单文件组件时:
     template这个标签,它有三个特性:
     1. 隐藏性:该标签不会显示在页面的任何地方,即便里面有多少内容,它永远都是隐藏的状态,设置 了displaynone2. 任意性:该标签可以写在任何地方,甚至是head、body、sciprt标签内; 
     3. 无效性:该标签里的任何HTML内容都是无效的,不会起任何作用;只能innerHTML来获取到里面 的内容。
    一个vue单文件组件就是一个vue实例,如果template下有多个div那么如何指定vue实例的根入口呢, 为了让组件可以正常生成一个vue实例,这个div会自然的处理成程序的入口,通过这个根节点,来递归 遍历整个vue树下的所有节点,并处理为vdom,后再渲染成真正的HTML,插入在正确的位置。
    
    
  3. diff中patchvnode方法,用来比较新旧节点,深度优先 同级比较

谈谈你对MVC、MVP和MVVM的理解

  1. 这三者都是框架模式,它们设计的目标都是为了解决Model和View的耦合问题。
  2. MVC模式出现较早主要应用在后端,如Spring MVC、ASP.NET MVC等,在前端领域的早期也有应 用,如Backbone.js。它的优点是分层清晰,缺点是数据流混乱,灵活性带来的维护性问题。
  3. MVP模式在是MVC的进化形式,Presenter作为中间层负责MV通信,解决了两者耦合问题,但P层 过于臃肿会导致维护问题。
  4. MVVM模式在前端领域有广泛应用,它不仅解决MV耦合问题,还同时解决了维护两者映射关系的 大量繁杂代码和DOM操作代码,在提高开发效率、可读性同时还保持了优越的性能表现

vue性能优化的方法

  1. 路由懒加载

    const router = new VueRouter({ 
    routes: [   
              { path: '/foo', component: () => import('./Foo.vue') }
            ]
     })
    
  2. keep-alive缓存页面

    <template>
        <div id="app">  
            <keep-alive>   
                <router-view/>
            </keep-alive>  
        </div>
    </template>
    
  3. 使用v-show复用DOM

        <template> 
            <div class="cell"> 
                <!--这种情况用v-show复用DOM,比v-if效果好--> 
                <div v-show="value" class="on"> 
                    <Heavy :n="10000"/>  
                </div>  
                <section v-show="!value" class="off"> 
                    <Heavy :n="10000"/>  
                </section> 
            </div>
        </template>
    
  4. v-for 遍历避免同时使用 v-if (如果有条件判断就用计算属性过滤数据)

        <template>  
            <ul>  
                <li v-for="user in activeUsers" key="user.id">   
                    {{ user.name }}  
                </li> 
            </ul>
       </template> 
       <script>  
           export default {     
               computed: {     
                   activeUsers: function () {        
                       return this.users.filter(function (user) {    
                           return user.isActive   
                       })     
                    }   
                 }
               } 
           </script>
    
  5. 长列表性能优化

    • 如果列表是纯粹的数据展示,不会有任何改变,就不需要做响应化
        export default { 
            data: () => ({    users: []  }),
            async created() { 
                const users = await axios.get("/api/users");  
                this.users = Object.freeze(users); 
            } 
        };
    
    <recycle-scroller  class="items"  :items="items"  :item-size="24" > 
        <template v-slot="{ item }">   
            <FetchItemView :item="item" @vote="voteItem(item)"/> 
       </template>
    </recycle-scroller
    
  6. 事件的销毁

    • Vue 组件销毁时,会自动解绑它的全部指令及事件监听器,但是仅限于组件本身的事件
  7. 图片懒加载

    • 对于图片过多的页面,为了加速页面加载速度,所以很多时候我们需要将页面内未出现在可视区域 内的图片先不做加载, 等到滚动到可视区域后再去加载
  8. 第三方插件按需引入

    • 像element-ui这样的第三方组件库可以按需引入避免体积太大。
  9. 无状态的组件标记为函数式组件

    <template functional> 
        <div class="cell">
            <div v-if="props.value" class="on"></div>
            <section v-else class="off"></section> 
       </div>
    </template>
    <script>
        export default {  props: ['value'] }
    </script>
    
    
  10. 子组件分割

  11. 变量本地化

        <template>  
            <div :style="{ opacity: start / 300 }">    {{ result }}  </div> 
        </template>
        
        <script> 
        import { heavy } from '@/utils'
        export default {
        props: ['start'], 
        computed: {   
            base () { return 42 },    
            result () {     
            const base = this.base // 不要频繁引用this.base 
            let result = this.start 
            for (let i = 0; i < 1000; i++) { 
                    result += heavy(base)     
                }     
                return result  
               }
              }
           } 
      </script>
    
  12. SSR

vue3.0 新特性

  1. 更快

    • 虚拟DOM重写

    • 优化slots的生成 (vue3中可以单独重新渲染父级和子级 确保实例正确的跟踪依赖关系 避免不必要的父子组件重新渲染)

    • 静态树提升 (使用静态树提升,这意味着 Vue 3 的编译器将能够检测到什么是静态的,然后将其提升,从而降低了渲 染成本。)

      • 跳过修补整棵树,从而降低渲染成本
      • 即使多次出现也能正常工作

      image.png

    • 静态属性提升

    • 基于Proxy的响应式系统 (Vue 2的响应式系统使用 Object.defineProperty 的getter 和 setter。Vue 3 将使用 ES2015 Proxy 作为 其观察机制,这将会带来如下变化:)

      • 组件实例初始化的速度提高100%
      • 使用Proxy节省以前一半的内存开销,加快速度,但是存在低浏览器版本的不兼容
      • 为了继续支持 IE11,Vue 3 将发布一个支持旧观察者机制和新 Proxy 版本的构建
  2. 更小:通过摇树优化核心库体积

  3. 更容易维护:TypeScript + 模块化

  4. 更加友好

    • 跨平台:编译器核心和运行时核心与平台无关,使得Vue更容易与任何平台(Web、 Android、iOS)一起使用
  5. 更容易使用

    • 改进的TypeScript支持,编辑器能提供强有力的类型检查和错误及警告
    • 更好的调试支持
    • 独立的响应化模块
    • Composition API