98. 验证二叉搜索树

120 阅读1分钟

好青年 | leetcode 打卡群 - 打卡记录第 十 天

给你一个二叉树的根节点 root ,判断其是否是一个有效的二叉搜索树。

有效 二叉搜索树定义如下:

节点的左子树只包含 小于 当前节点的数。 节点的右子树只包含 大于 当前节点的数。 所有左子树和右子树自身必须也是二叉搜索树。  

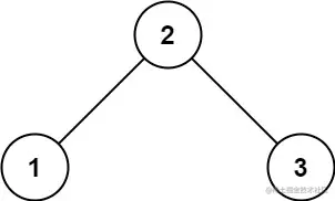
示例 1

image.png

输入:root = [2,1,3]
输出:true

示例 2 image.png


输入:root = [5,1,4,null,null,3,6]
输出:false
解释:根节点的值是 5 ,但是右子节点的值是 4
/**
 * Definition for a binary tree node.
 * function TreeNode(val, left, right) {
 *     this.val = (val===undefined ? 0 : val)
 *     this.left = (left===undefined ? null : left)
 *     this.right = (right===undefined ? null : right)
 * }
 */
/**
 * @param {TreeNode} root
 * @return {boolean}
 */
var isValidBST = function (root) {
    const isBST = (root, min, max) => {
        if (!root) return true;
        // 节点的左子树只包含 小于 当前节点的数。
        // 节点的右子树只包含 大于 当前节点的数。
        if (min !== null && root.val <= min.val) return false;
        if (max !== null && root.val >= max.val) return false;

        return isBST(root.left, min, root)
            && isBST(root.right, root, max);
    }
    return isBST(root, null, null);
};