206. 反转链表

49 阅读1分钟

给你单链表的头节点 head ,请你反转链表,并返回反转后的链表。  

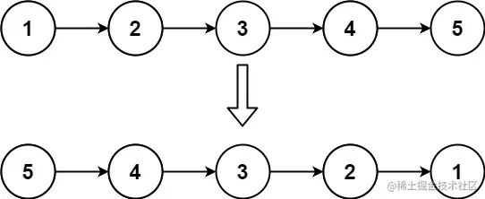
示例 1:

image.png

输入:head = [1,2,3,4,5]
输出:[5,4,3,2,1]

示例 2:

输入:head = [1,2]
输出:[2,1]

示例 3:

输入:head = []
输出:[]
/**
 * Definition for singly-linked list.
 * function ListNode(val, next) {
 *     this.val = (val===undefined ? 0 : val)
 *     this.next = (next===undefined ? null : next)
 * }
 */
/**
 * @param {ListNode} head
 * @return {ListNode}
 */
var reverseList = function (head) {
    if (head === null || head.next === null) {
        return head
    }
    // 递归
    let last = reverseList(head.next)
    head.next.next = head;

    head.next = null;

    return last;
};