19. 删除链表的倒数第 N 个结点

74 阅读1分钟

好青年 | leetcode 打卡群 - 打卡记录第 八 天

给你一个链表,删除链表的倒数第 n 个结点,并且返回链表的头结点。

  示例 1:

image.png

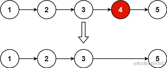
输入:head = [1,2,3,4,5], n = 2
输出:[1,2,3,5]

示例 2:

输入:head = [1], n = 1
输出:[]

示例 3:

输入:head = [1,2], n = 1
输出:[1]
/**
 * Definition for singly-linked list.
 * function ListNode(val, next) {
 *     this.val = (val===undefined ? 0 : val)
 *     this.next = (next===undefined ? null : next)
 * }
 */
/**
 * @param {ListNode} head
 * @param {number} n
 * @return {ListNode}
 */
var removeNthFromEnd = function (head, n) {
    // 快慢指针
    let fast = slow = head;

    for (let i = 0; i < n; i += 1) {
        fast = fast.next
    }

    // 先走n步
    if (fast === null) return head.next;

    while (fast && fast.next) {
        fast = fast.next;
        slow = slow.next
    }

    slow.next = slow.next.next;
    return head
};