LeetCode 练习——113. 路径总和 II

134 阅读2分钟

1.题目描述

113. 路径总和 II 给你二叉树的根节点 root 和一个整数目标和 targetSum ,找出所有 从根节点到叶子节点 路径总和等于给定目标和的路径。

叶子节点 是指没有子节点的节点。

 

示例 1:

输入:root = [5,4,8,11,null,13,4,7,2,null,null,5,1], targetSum = 22
输出:[[5,4,11,2],[5,8,4,5]]

示例 2:

输入:root = [1,2,3], targetSum = 5
输出:[]

示例 3:

输入:root = [1,2], targetSum = 0
输出:[]

 

2.解题思路与代码

2.1 解题思路

这道题求从根节点到叶节点的上和为目标的路径,可以使用前序遍历进行处理。当节点不为叶节点时,将当前节点放入路径列表中,并且目标值减去当前节点值;如果当前节点是叶节点时,就需要判断 target 是否为 0,如果是0,那么就把当前路径放入结果列表中;如果不是0,则返回。在处理完左节点和右节点之后需要将当前节点从路径列表中删除。以题目示例 1 为例进行图解:

首先从根节点开始向下遍历二叉树,将当前节点放入路径列表中,同时 target 减去当前节点值。

image.png

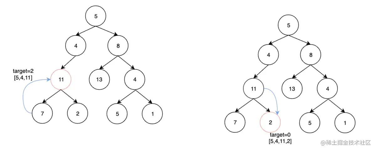
当遍历到叶节点时,判断 target 是否为 0,此时不为 0,因此这条路径不满足要求,返回上一节点。

image.png

返回同时需要将当前节点从路径列表中移除,然后继续向下到 2 这个节点。此时 target 等于 0,满足要求,将 [5, 4, 11, 2] 这条路径放入结果中。重复上面步骤继续遍历知道结束为止。

image.png

2.2 代码


class Solution {
    List<List<Integer>> ans = new ArrayList<>();

    public List<List<Integer>> pathSum(TreeNode root, int target) {
        if (root == null) {
            return ans;
        }
        process(root, new ArrayList<>(), target);
        return ans;
    }

    public void process(TreeNode root, List<Integer> tmp, int target) {
        if (root == null) {
            return;
        }
        tmp.add(root.val);
        target -= root.val;
        if (root.left == null && root.right == null && target == 0){
            // 如过当前节点为叶节点,并且 target 等于 0,将路径放入结果列表
            ans.add(new ArrayList<>(tmp));
        }
        process(root.left, tmp, target);
        process(root.right, tmp, target);
        // 处理完左右节点之后将当前节点从路径列表中移除
        tmp.remove(tmp.size() - 1);
    }
}

2.3 测试结果

通过测试

image.png

3.总结

  • 使用前序遍历进行解答
  • 每个节点在处理完左右节点后需要将当前节点移出路径列表