Python 垃圾回收机制与原理解析

157 阅读5分钟

Python 作为一门解释型语言,以代码简洁易懂著称。我们可以直接对名称赋值,而不必声明类型。名称类型的确定、内存空间的分配与释放都是由 Python 解释器在运行时进行的。

Python 这一自动管理内存功能极大的减小了程序员负担。对于 Python 这种高级别的语言,开发者完成可以不用关心其内部的垃圾回收机制。相辅相成的通过学习 Python 内部的垃圾回收机制,并了解其原理,可以使得开发者能够更好的写代码,更加 Pythonista。

目录

  1. Python内存管理机制

  2. Python的垃圾回收机制

    2.1 引用计数(reference counting)

    2.2 标记清除(Mark and Sweep)

    2.3 分代回收(Generational garbage collector)

  3. Python中的gc模块

Python内存管理机制

在 Python 中,内存管理涉及到一个包含所有 Python 对象和数据结构的私有堆(heap)。这个私有堆的管理由内部的 Python 内存管理器(Python memory manager) 保证。Python 内存管理器有不同的组件来处理各种动态存储管理方面的问题,如共享、分割、预分配或缓存。

在最底层,一个原始内存分配器通过与操作系统的内存管理器交互,确保私有堆中有足够的空间来存储所有与 Python 相关的数据。在原始内存分配器的基础上,几个对象特定的分配器在同一堆上运行,并根据每种对象类型的特点实现不同的内存管理策略。例如,整数对象在堆内的管理方式不同于字符串、元组或字典,因为整数需要不同的存储需求和速度与空间的权衡。因此,Python 内存管理器将一些工作分配给对象特定分配器,但确保后者在私有堆的范围内运行。

Python 堆内存的管理是由解释器来执行,用户对它没有控制权,即使他们经常操作指向堆内内存块的对象指针,理解这一点十分重要。

图片

Python为了避免对于小对象(<=512bytes)出现数量过多的GC,导致的性能消耗。Python对于小对象采用子分配 (内存池) 的方式进行内存块的管理。对于大对象使用标准C中的allocator来分配内存。

Python对于小对象的allocator由大到小分为三个层级:arena、pool、block。

Block

Block是最小的一个层级,每个block仅仅可以容纳包含一个固定大小的Python Object。大小从8-512bytes,以8bytes为步长,分为64类不同的block。

Request in bytesSize of allocated blocksize class idx
1-880
9-16161
17-24242
25-32323
33-40404
41-48485
505-51251263

Pool

Pool具有相同大小的block组成集合称为Pool。通常情况下,Pool的大小为4kb,与虚拟内存页的大小保存一致。限制Pool中block有固定的大小,有如下好处是: 当一个对象在当前Pool中的某个block被销毁时,Pool内存管理可以将新生成的对象放入该block中。

/* Pool for small blocks. */
struct pool_header {
    union { block *_padding;
            uint count; } ref;          /* number of allocated blocks    */
    block *freeblock;                   /* pool's free list head         */
    struct pool_header *nextpool;       /* next pool of this size class  */
    struct pool_header *prevpool;       /* previous pool       ""        */
    uint arenaindex;                    /* index into arenas of base adr */
    uint szidx;                         /* block size class index        */
    uint nextoffset;                    /* bytes to virgin block         */
    uint maxnextoffset;                 /* largest valid nextoffset      */
};

具有相同大小的Pool通过双向链表来连接,sidx用来标识Block的类型。arenaindex标识当前Pool属于哪个Arena。ref.conut标识当前Pool使用了多少个Block。freeblock:标识当前Pools中可用block的指针。freeblock实际是单链表实现,当一块block为空状态时,则将该block插入到freeblock链表的头部。

每个Pool都有三个状态:

  • used:部分使用,即Pool不满,也不为空
  • full:满,即所有Pool中的Block都已被分配
  • empty:空, 即所有Pool中的Block都未被分配

usedpool为了很好的高效的管理Pool,Python额外使用了array,usedpool来管理。即如下图所示,usedpool按序存储着每个特性大小的Pool的头指针,相同大小的Pool按照双向链表来连接。当分配新的内存空间时,创建一个特定大小的Pool,只需要使用usedpools找到头指针,遍历即可,当没有内存空间时,只需要在Pool的双向链表的头部插入新的Pool即可。

图片

Arena

Pools和Blocks都不会直接去进行内存分配(allocate), Pools和Blocks会使用从arena那边已经分配好的内存空间。Arena:是分配在堆上256kb的块状内存,提供了64个Pool。

图片

struct arena_object {
    uintptr_t address;
    block* pool_address;
    uint nfreepools;
    uint ntotalpools;
    struct pool_header* freepools;
    struct arena_object* nextarena;
    struct arena_object* prevarena;
};

所有的arenas也使用双链表进行连接(prevarena, nextarena字段). nfreepools和ntotalpools存储着当前可用pools的信息。freepools指针指向当前可用的pools。arena结构简单,职责即为按需给pools分配内存,当一个arena为空时,则将该arena的内存归还给操作系统。

Python的垃圾回收机制

Python采用的是引用计数机制为主,标记-清除和分代收集两种机制为辅的策略。

引用计数(reference counting)

Python语言默认采用的垃圾收集机制是“引用计数法 Reference Counting”,该算法最早George E. Collins在1960的时候首次提出,50年后的今天,该算法依然被很多编程语言使用。

引用计数法的原理是:每个对象维护一个ob_ref字段,用来记录该对象当前被引用的次数,每当新的引用指向该对象时,它的引用计数ob_ref加1,每当该对象的引用失效时计数ob_ref减1,一旦对象的引用计数为0,该对象立即被回收,对象占用的内存空间将被释放。

它的缺点是需要额外的空间维护引用计数,这个问题是其次的,不过最主要的问题是它不能解决对象的“循环引用”,因此,也有很多语言比如Java并没有采用该算法做来垃圾的收集机制。

Python中一切皆对象,也就是说,在Python中你用到的一切变量,本质上都是类对象。实际上每一个对象的核心就是一个结构体PyObject,它的内部有一个引用计数器ob_refcnt,程序在运行的过程中会实时的更新ob_refcnt的值,来反映引用当前对象的名称数量。当某对象的引用计数值为0,说明这个对象变成了垃圾,那么它会被回收掉,它所用的内存也会被立即释放掉。

typedef struct _object {
    int ob_refcnt;//引用计数
    struct _typeobject *ob_type;
} PyObject;

导致引用计数+1的情况:

  • 对象被创建,例如a=23
  • 对象被引用,例如b=a
  • 对象被作为参数,传入到一个函数中,例如func(a)
  • 对象作为一个元素,存储在容器中,例如list1=[a,a]

导致引用计数-1的情况

  • 对象的别名被显式销毁,例如del a
  • 对象的别名被赋予新的对象,例如a=24
  • 一个对象离开它的作用域,例如f函数执行完毕时,func函数中的局部变量(全局变量不会)
  • 对象所在的容器被销毁,或从容器中删除对象

我们可以通过sys包中的getrefcount()来获取一个名称所引用的对象当前的引用计。sys.getrefcount()本身会使得引用计数加一.

循环引用

引用计数的另一个现象就是循环引用,相当于有两个对象a和b,其中a引用了b,b引用了a,这样a和b的引用计数都为1,并且永远都不会为0,这就意味着这两个对象永远都不会被回收了,这就是循环引用 , a与b形成了一个引用循环 , 示例如下 :

a = [1, 2]  # 计数为 1
b = [2, 3]  # 计数为 1
a.append(b)  # 计数为 2
b.append(a)  # 计数为 2
del a  # 计数为 1
del b  # 计数为 1

除了上述两个对象互相引用之外 , 还可以引用自身 :

list3 = [1,2,3]
list3.append(list3)

循环引用导致变量计数永不为 0,造成引用计数无法将其删除。

引用计数法有其明显的优点,如高效、实现逻辑简单、具备实时性,一旦一个对象的引用计数归零,内存就直接释放了。不用像其他机制等到特定时机。将垃圾回收随机分配到运行的阶段,处理回收内存的时间分摊到了平时,正常程序的运行比较平稳。引用计数也存在着一些缺点:

  • 逻辑简单,但实现有些麻烦。每个对象需要分配单独的空间来统计引用计数,这无形中加大的空间的负担,并且需要对引用计数进行维护,在维护的时候很容易会出错。
  • 在一些场景下,可能会比较慢。正常来说垃圾回收会比较平稳运行,但是当需要释放一个大的对象时,比如字典,需要对引用的所有对象循环嵌套调用,从而可能会花费比较长的时间。
  • 循环引用。这将是引用计数的致命伤,引用计数对此是无解的,因此必须要使用其它的垃圾回收算法对其进行补充。

也就是说,Python 的垃圾回收机制,很大一部分是为了处理可能产生的循环引用,是对引用计数的补充。

标记清除(Mark and Sweep)

Python采用了“标记-清除”(Mark and Sweep)算法,解决容器对象可能产生的循环引用问题。(注意,只有容器对象才会产生循环引用的情况,比如列表、字典、用户自定义类的对象、元组等。而像数字,字符串这类简单类型不会出现循环引用。作为一种优化策略,对于只包含简单类型的元组也不在标记清除算法的考虑之列)

跟其名称一样,该算法在进行垃圾回收时分成了两步,分别是:

  • 标记阶段,遍历所有的对象,如果是可达的(reachable),也就是还有对象引用它,那么就标记该对象为可达;
  • 清除阶段,再次遍历对象,如果发现某个对象没有标记为可达,则就将其回收。

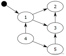
对象之间会通过引用(指针)连在一起,构成一个有向图,对象构成这个有向图的节点,而引用关系构成这个有向图的边。从root object出发,沿着有向边遍历对象,可达的(reachable)对象标记为活动对象,不可达(unreachable)的对象就是要被清除的非活动对象。所谓 root object,就是一些全局变量、调用栈、寄存器,这些对象是不可被删除的。

图片

我们把小黑圈视为 root object,从小黑圈出发,对象 1 可达,那么它将被标记,对象 2、3可间接可达也会被标记,而 4 和 5 不可达,那么 1、2、3 就是活动对象,4 和 5 是非活动对象会被 GC 回收。

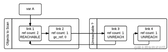
如下图所示,在标记清除算法中,为了追踪容器对象,需要每个容器对象维护两个额外的指针,用来将容器对象组成一个双端链表,指针分别指向前后两个容器对象,方便插入和删除操作。Python解释器(Cpython)维护了两个这样的双端链表,一个链表存放着需要被扫描的容器对象,另一个链表存放着临时不可达对象。

在图中,这两个链表分别被命名为“Object to Scan”和“Unreachable”。图中例子是这么一个情况:link1,link2,link3组成了一个引用环,同时link1还被一个变量A(其实这里称为名称A更好)引用。link4自引用,也构成了一个引用环。

从图中我们还可以看到,每一个节点除了有一个记录当前引用计数的变量ref_count还有一个gc_ref变量,这个gc_ref是ref_count的一个副本,所以初始值为ref_count的大小。

图片

gc启动的时候,会逐个遍历“Object to Scan”链表中的容器对象,并且将当前对象所引用的所有对象的gc_ref减一。(扫描到link1的时候,由于link1引用了link2,所以会将link2的gc_ref减一,接着扫描link2,由于link2引用了link3,所以会将link3的gc_ref减一…..)像这样将“Objects to Scan”链表中的所有对象考察一遍之后,两个链表中的对象的ref_count和gc_ref的情况如下图所示。这一步操作就相当于解除了循环引用对引用计数的影响。

图片

接着,gc会再次扫描所有的容器对象,如果对象的gc_ref值为0,那么这个对象就被标记为GC_TENTATIVELY_UNREACHABLE,并且被移至“Unreachable”链表中。下图中的link3和link4就是这样一种情况。

图片

如果对象的gc_ref不为0,那么这个对象就会被标记为GC_REACHABLE。同时当gc发现有一个节点是可达的,那么他会递归式的将从该节点出发可以到达的所有节点标记为GC_REACHABLE,这就是下图中link2和link3所碰到的情形。

图片

除了将所有可达节点标记为GC_REACHABLE之外,如果该节点当前在“Unreachable”链表中的话,还需要将其移回到“Object to Scan”链表中,下图就是link3移回之后的情形。

图片

第二次遍历的所有对象都遍历完成之后,存在于“Unreachable”链表中的对象就是真正需要被释放的对象。如上图所示,此时link4存在于Unreachable链表中,gc随即释放之。

上面描述的垃圾回收的阶段,会暂停整个应用程序,等待标记清除结束后才会恢复应用程序的运行。

标记清除的优点在于可以解决循环引用的问题,并且在整个算法执行的过程中没有额外的开销。缺点在于当执行标记清除时正常的程序将会被阻塞。另外一个缺点在于,标记清除算法在执行很多次数后,程序的堆空间会产生一些小的内存碎片。

分代回收(Generational garbage collector)

分代回收技术是上个世纪80年代初发展起来的一种垃圾回收机制,也是Java 垃圾回收的核心算法。分代回收是基于这样的一个统计事实,对于程序,存在一定比例的内存块的生存周期比较短;而剩下的内存块,生存周期会比较长,甚至会从程序开始一直持续到程序结束。

生存期较短对象的比例通常在 80%~90% 之间。因此,简单地认为:对象存在时间越长,越可能不是垃圾,应该越少去收集。这样在执行标记-清除算法时可以有效减小遍历的对象数,从而提高垃圾回收的速度,是一种以空间换时间的方法策略。

  • Python 将所有的对象分为 0,1,2 三代;
  • 所有的新建对象都是 0 代对象;
  • 当某一代对象经历过垃圾回收,依然存活,就被归入下一代对象。

那么,按什么标准划分对象呢?是否随机将一个对象划分到某个代即可呢?答案是否定的。实际上,对象分代里头也是有不少学问的,好的划分标准可显著提升垃圾回收的效率。

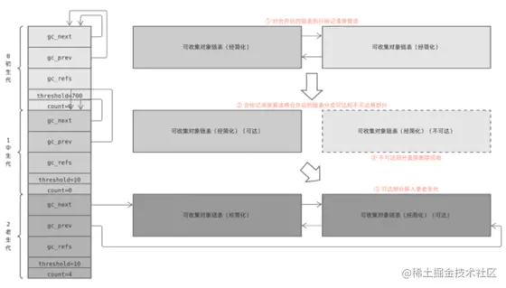
图片

Python 内部根据对象存活时间,将对象分为 3 代,每个代都由一个 gc_generation 结构体来维护(定义于 Include/internal/mem.h):

struct gc_generation { 
    PyGC_Head head; 
    int threshold; /* collection threshold */ 
    int count; /* count of allocations or collections of younger generations */ 
};

其中:

  • head,可收集对象链表头部,代中的对象通过该链表维护
  • threshold,仅当 count 超过本阀值时,Python 垃圾回收操作才会扫描本代对象
  • count,计数器,不同代统计项目不一样

Python 虚拟机运行时状态由 Include/internal/pystate.h 中的 pyruntimestate 结构体表示,它内部有一个 _gc_runtime_state ( Include/internal/mem.h )结构体,保存 GC 状态信息,包括 3 个对象代。这 3 个代,在 GC 模块( Modules/gcmodule.c ) _PyGC_Initialize 函数中初始化:

struct gc_generation generations[NUM_GENERATIONS] = {
    /* PyGC_Head, threshold, count */
    {{{_GEN_HEAD(0), _GEN_HEAD(0), 0}}, 700 0},
    {{{_GEN_HEAD(1), _GEN_HEAD(1), 0}}, 100},
    {{{_GEN_HEAD(2), _GEN_HEAD(2), 0}}, 100},
};

为方便讨论,我们将这 3 个代分别称为:初生代、中生代 以及 老生代。当这 3 个代初始化完毕后,对应的 gc_generation 数组大概是这样的:

图片

每个 gc_generation 结构体链表头节点都指向自己,换句话说每个可收集对象链表一开始都是空的,计数器字段 count 都被初始化为 0,而阀值字段 threshold 则有各自的策略。这些策略如何理解呢?

  • Python 调用 _PyObject_GC_Alloc 为需要跟踪的对象分配内存时,该函数将初生代 count 计数器加1,随后对象将接入初生代对象链表,当 Python 调用 PyObject_GC_Del 释放垃圾对象内存时,该函数将初生代 count 计数器,1,_PyObject_GC_Alloc 自增 count 后如果超过阀值(700),将调用 collect_generations 执行一次垃圾回收( GC )。
  • collect_generations 函数从老生代开始,逐个遍历每个生代,找出需要执行回收操作(,count>threshold )的最老生代。随后调用 collect_with_callback 函数开始回收该生代,而该函数最终调用 collect 函数。
  • collect 函数处理某个生代时,先将比它年轻的生代计数器 count 重置为 0,然后将它们的对象链表移除,与自己的拼接在一起后执行 GC 算法,最后将下一个生代计数器加1。

于是:

  • 系统每新增 701 个需要 GC 的对象,Python 就执行一次 GC 操作
  • 每次 GC 操作需要处理的生代可能是不同的,由 count 和 threshold 共同决定
  • 某个生代需要执行 GC ( count>hreshold ),在它前面的所有年轻生代也同时执行 GC
  • 对多个代执行 GC,Python 将它们的对象链表拼接在一起,一次性处理
  • GC 执行完毕后,count 清零,而后一个生代 count 加 1

下面是一个简单的例子:初生代触发 GC 操作,Python 执行 collect_generations 函数。它找出了达到阀值的最老生代是中生代,因此调用 collection_with_callback(1),1 是中生代在数组中的下标。

图片

collection_with_callback(1) 最终执调用 collect(1) ,它先将后一个生代计数器加一;然后将本生代以及前面所有年轻生代计数器重置为零;最后调用 gc_list_merge 将这几个可回收对象链表合并在一起:

图片

最后,collect 函数执行标记清除算法,对合并后的链表进行垃圾回收。

图片

这就是分代回收机制的全部秘密,它看似复杂,但只需略加总结就可以得到几条直白的策略:

  • 每新增 701 个需要 GC 的对象,触发一次新生代 GC
  • 每执行 11 次新生代 GC ,触发一次中生代 GC
  • 每执行 11 次中生代 GC ,触发一次老生代 GC (老生代 GC 还受其他策略影响,频率更低)
  • 执行某个生代 GC 前,年轻生代对象链表也移入该代,一起 GC
  • 一个对象创建后,随着时间推移将被逐步移入老生代,回收频率逐渐降低

Python 中的 gc 模块

gc 模块是我们在Python中进行内存管理的接口,一般情况Python程序员都不用关心自己程序的内存管理问题,但是有的时候,比如发现自己程序存在内存泄露,就可能需要用到gc模块的接口来排查问题。

有的 Python 系统会关闭自动垃圾回收,程序自己判断回收的时机,据说 instagram 的系统就是这样做的,整体运行效率提高了10%。

常用函数:

  • set_debug(flags) :设置gc的debug日志,一般设置为gc.DEBUG_LEAK可以看到内存泄漏的对象。
  • collect([generation]) :执行垃圾回收。会将那些有循环引用的对象给回收了。这个函数可以传递参数,0代表只回收第0代的的垃圾对象、1代表回收第0代和第1代的对象,2代表回收第0、1、2代的对象。如果不传参数,那么会使用2作为默认参数。
  • get_threshold() :获取gc模块执行垃圾回收的阈值。返回的是个元组,第0个是零代的阈值,第1个是1代的阈值,第2个是2代的阈值。
  • set_threshold(threshold0[, threshold1[, threshold2]) :设置执行垃圾回收的阈值。
  • get_count() :获取当前自动执行垃圾回收的计数器。返回一个元组。第0个是零代的垃圾对象的数量,第1个是零代链表遍历的次数,第2个是1代链表遍历的次数。

以上就是本次分享的所有内容,如果你觉得文章还不错,欢迎关注公众号:Python编程学习圈,每日干货分享,或是前往编程学习网,了解更多编程技术知识。