吴恩达课程笔记--第三章

110 阅读1分钟

1.logistic回归思想即如下===sigmoid单元

image.png

很多sigmoid单元堆叠起来构成一个神经网络

eg:只有一个隐藏层的神经网络 image.png

image.png 输入层是第0层。

对于双层的解析:

针对第一层的前两个节点: image.png 总结起来即如下所示: image.png

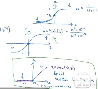
2.选择激活函数时,一般的:

输出值为0和1==== 二元分类====σ 函数很适合作为输出层的激活函数,其它所有单元都用ReLU(如果不确定用哪个,就用ReLU)

σ 函数/tanh函数/ReLU函数(ReLU 斜率不为0,速度会相对很快)/带泄露的ReLU函数===Leaky ReLU

1656253583535.png

σ 函数,除非用在二元分类的输出层,不然绝对不要用

image.png

3.随机初始化

权重非常重要

4.更新参数

我们需要选择一个良好的学习速率,如下二图(由Adam Harley提供):

iteration从1到50:

image.png image.png

上面两个图分别代表了具有良好学习速率(收敛)和不良学习速率(发散)的梯度下降算法。