leetcode206 反转链表

97 阅读1分钟

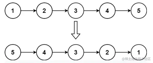
给你单链表的头节点 head ,请你反转链表,并返回反转后的链表。 如图所示: image.png
比较直观的思路,通过保存两个指针,pre和cur来记录前后两个节点,当需要翻转是,就可以把cur指向为pre。
但因为cur一旦调整了指向,那原本下一个节点就无法找到了,所以需要一个临时指针temp,来记录cur原本的下一个节点。
具体如下: image.png

具体代码如下:

image.png