Redis知识整合(二)

160 阅读9分钟

本文已参与「新人创作礼」活动,一起开启掘金创作之路。

3、Redis常用五大数据类型

3.1 Redis键(key)

keys *查看当前库所有key    (匹配:keys *1)
exists key判断某个key是否存在
type key 查看你的key是什么类型
del key       删除指定的key数据
unlink key   根据value选择非阻塞删除
仅将keys从keyspace元数据中删除,真正的删除会在后续异步操作。
expire key 10   10秒钟:为给定的key设置过期时间
ttl key 查看还有多少秒过期,-1表示永不过期,-2表示已过期
​
select命令切换数据库
dbsize查看当前数据库的key的数量
flushdb清空当前库
flushall通杀全部库

3.2 Redis字符串(String)

简介

String是

Redis最基本的类型,可以理解成与Memcached一模一样的类型,一个key对应一个value。

String类型是二进制安全的。意味着Redis的string可以包含任何数据。比如jpg图片或者序列化的对象。

String类型是Redis最基本的数据类型,一个Redis中字符串value最多可以是512M。

常用命令

set 添加键值对

image.png

  • *NX:当数据库中key不存在时,可以将key-value添加数据库
  • *XX:当数据库中key存在时,可以将key-value添加数据库,与NX参数互斥
  • *EX:key的超时秒数
  • *PX:key的超时毫秒数,与EX互斥

get 查询对应键值

append 将给定的 追加到原值的末尾

strlen 获得值的长度

setnx 只有在 key 不存在时 设置 key 的值

incr

  • 将 key 中储存的数字值增1
  • 只能对数字值操作,如果为空,新增值为1

decr

  • 将 key 中储存的数字值减1
  • 只能对数字值操作,如果为空,新增值为-1

incrby / decrby <步长>将 key 中储存的数字值增减。自定义步长。

原子性

所谓原子操作是指不会被线程调度机制打断的操作;

这种操作一旦开始,就一直运行到结束,中间不会有任何 context switch (切换到另一个线程)。

(1)在单线程中, 能够在单条指令中完成的操作都可以认为是"原子操作",因为中断只能发生于指令之间。

(2)在多线程中,不能被其它进程(线程)打断的操作就叫原子操作。

Redis单命令的原子性主要得益于Redis的单线程。

mset .....

同时设置一个或多个 key-value对

mget .....

同时获取一个或多个 value

msetnx .....

同时设置一个或多个 key-value 对,当且仅当所有给定 key 都不存在。

根据原子性 ,有一个失败则都失败。

getrange <起始位置><结束位置>

获得值的范围,类似java中的substring, 前包,后包

setrange <起始位置>

用 覆写所储存的字符串值,从<起始位置>开始( *索引从0开始 *)。

setex <过期时间>

设置键值的同时,设置过期时间,单位秒。

getset

以新换旧,设置了新值同时获得旧值。

3.3 Redis列表(List)

简介

单键多值

Redis 列表是简单的字符串列表,按照插入顺序排序。你可以添加一个元素到列表的头部(左边)或者尾部(右边)。

它的底层实际是个双向链表,对两端的操作性能很高,通过索引下标的操作中间的节点性能会较差。

image.png

常用命令

lpush/rpush .... 从左边/右边插入一个或多个值。

lpop/rpop 从左边/右边吐出一个值。值在键在,值光键亡。

rpoplpush 从列表右边吐出一个值,插到列表左边。

lrange

按照索引下标获得元素(从左到右)

lrange mylist 0 -1 0左边第一个,-1右边第一个,(0-1表示获取所有)

lindex 按照索引下标获得元素(从左到右)

llen 获得列表长度

linsert before 在的后面插入插入值

lrem 从左边删除n个value(从左到右)

lset将列表key下标为index的值替换成value

数据结构

List的数据结构为快速链表quickList。


首先在列表元素较少的情况下会使用一块连续的内存存储,这个结构是ziplist,也即是压缩列表。

它将所有的元素紧挨着一起存储,分配的是一块连续的内存。

当数据量比较多的时候才会改成quicklist。


因为普通的链表需要的附加指针空间太大,会比较浪费空间。比如这个列表里存的只是int类型的数据,结构上还需要两个额外的指针prev和next。

image.png

Redis将链表和ziplist结合起来组成了quicklist。也就是将多个ziplist使用双向指针串起来使用。这样既满足了快速的插入删除性能,又不会出现太大的空间冗余。

3.4 Redis集合(Set)

简介

Redis set对外提供的功能与list类似是一个列表的功能,特殊之处在于set是可以自动去重的,当你需要存储一个列表数据,又不希望出现重复数据时,set是一个很好的选择,并且set提供了判断某个成员是否在一个set集合内的重要接口,这个也是list所不能提供的。

Redis的Set是string类型的无序集合。它底层其实是一个value为null的hash表,所以添加,删除,查找的复杂度都是O(1)。

一个算法,随着数据的增加,执行时间的长短,如果是O(1),数据增加,查找数据的时间不变。

常用命令

sadd .....

将一个或多个 member 元素加入到集合 key 中,已经存在的 member 元素将被忽略

smembers 取出该集合的所有值。

sismember 判断集合是否为含有该值,有1,没有0

scard返回该集合的元素个数。

srem .... 删除集合中的某个元素。

spop 随机从该集合中吐出一个值。

srandmember 随机从该集合中取出n个值。不会从集合中删除 。

smove value把集合中一个值从一个集合移动到另一个集合

sinter 返回两个集合的交集元素。

sunion 返回两个集合的并集元素。

sdiff 返回两个集合的 *差集 *元素(key1中的,不包含key2中的)

数据结构

Set数据结构是dict字典,字典是用哈希表实现的。


Java中HashSet的内部实现使用的是HashMap,只不过所有的value都指向同一个对象。Redis的set结构也是一样,它的内部也使用hash结构,所有的value都指向同一个内部值。

3.5 Redis哈希(Hash)

简介

Redis hash 是一个键值对集合。

Redis hash是一个string类型的field和value的映射表,hash特别适合用于存储对象。

类似Java里面的Map<String,Object>

用户ID为查找的key,存储的value用户对象包含姓名,年龄,生日等信息,如果用普通的key/value结构来存储

主要有以下2种存储方式:

image.png

常用命令

hset 给集合中的 键赋值

hget 从集合取出 value

hmset ... 批量设置hash的值

hexists查看哈希表 key 中,给定域 field 是否存在。

hkeys 列出该hash集合的所有field

hvals 列出该hash集合的所有value

hincrby 为哈希表 key 中的域 field 的值加上增量 1 -1

hsetnx 将哈希表 key 中的域 field 的值设置为 value ,当且仅当域 field 不存在 .

数据结构

Hash类型对应的数据结构是两种:ziplist(压缩列表),hashtable(哈希表)。当field-value长度较短且个数较少时,使用ziplist,否则使用hashtable。

3.6 Redis有序集合

简介

Redis有序集合zset与普通集合set非常相似,是一个没有重复元素的字符串集合。

不同之处是有序集合的每个成员都关联了一个 *评分(score) *,这个评分(score)被用来按照从最低分到最高分的方式排序集合中的成员。集合的成员是唯一的,但是评分可以是重复了 。

因为元素是有序的, 所以你也可以很快的根据评分(score)或者次序(position)来获取一个范围的元素。

访问有序集合的中间元素也是非常快的,因此你能够使用有序集合作为一个没有重复成员的智能列表。

常用命令

zadd …

将一个或多个 member 元素及其 score 值加入到有序集 key 当中。

zrange [WITHSCORES]

返回有序集 key 中,下标在之间的元素

带WITHSCORES,可以让分数一起和值返回到结果集。

zrangebyscore key minmax [withscores] [limit offset count]

返回有序集 key 中,所有 score 值介于 min 和 max 之间(包括等于 min 或 max )的成员。有序集成员按 score 值递增(从小到大)次序排列。

zrevrangebyscore key maxmin [withscores] [limit offset count]

同上,改为从大到小排列。

zincrby 为元素的score加上增量

zrem 删除该集合下,指定值的元素

zcount 统计该集合,分数区间内的元素个数

zrank 返回该值在集合中的排名,从0开始。

数据结构

SortedSet(zset)是Redis提供的一个非常特别的数据结构,一方面它等价于Java的数据结构Map<String, Double>,可以给每一个元素value赋予一个权重score,另一方面它又类似于TreeSet,内部的元素会按照权重score进行排序,可以得到每个元素的名次,还可以通过score的范围来获取元素的列表。

zset底层使用了两个数据结构

(1)hash,hash的作用就是关联元素value和权重score,保障元素value的唯一性,可以通过元素value找到相应的score值。

(2)跳跃表,跳跃表的目的在于给元素value排序,根据score的范围获取元素列表。

跳跃表介绍

有序集合在生活中比较常见,例如根据成绩对学生排名,根据得分对玩家排名等。对于有序集合的底层实现,可以用数组、平衡树、链表等。数组不便元素的插入、删除;平衡树或红黑树虽然效率高但结构复杂;链表查询需要遍历所有效率低。Redis采用的是跳跃表。跳跃表效率堪比红黑树,实现远比红黑树简单。

实例

对比有序链表和跳跃表,从链表中查询出51

(1) 有序链表

image.png

要查找值为51的元素,需要从第一个元素开始依次查找、比较才能找到。共需要6次比较。

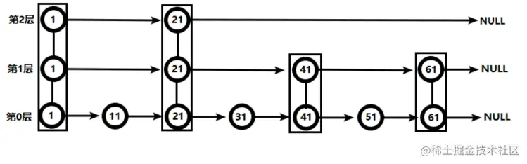
(2) 跳跃表

image.png

从第2层开始,1节点比51节点小,向后比较。

21节点比51节点小,继续向后比较,后面就是NULL了,所以从21节点向下到第1层

在第1层,41节点比51节点小,继续向后,61节点比51节点大,所以从41向下

在第0层,51节点为要查找的节点,节点被找到,共查找4次。

从此可以看出跳跃表比有序链表效率要高