leetcode刷题:链表06 ( 链表相交)

86 阅读2分钟

本文已参与「新人创作礼」活动,一起开启掘金创作之路

力扣题目链接

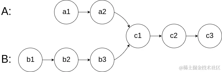
给你两个单链表的头节点 headA 和 headB ,请你找出并返回两个单链表相交的起始节点。如果两个链表没有交点,返回 null 。

图示两个链表在节点 c1 开始相交:

题目数据 保证 整个链式结构中不存在环。

注意,函数返回结果后,链表必须 保持其原始结构 。

示例 1:

示例 2:

示例 3:

这题两个做法。1 暴力破解,两层循环搞定

   public ListNode getIntersectionNode(ListNode headA, ListNode headB) {
        //获取头结点的起始结点
        ListNode curA = headA;
        ListNode curB = headB;
        //两层循环遍历
        while (curA != null) {
            while (curB != null) {
                //地址相等则为同一个结点,即相交
                if (curA == curB) {
                    return curA;
                }
                curB = curB.next;
            }
            curA = curA.next;
            curB = headB;
        }
        return null;
    }

在这里插入图片描述

2 右对齐法。 先把两个链表的长度求出来 比如A链表长度为10 B链表长度为4 因为如果相交了,则在交点之后,可以看做是一个链表了,因为汇合了嘛 所以A的前5位直接不用考虑,不然如果第三位相交,A后面还有7个,B开挂也最多4个。 所以A不妨先右移6位 此时AB右对齐。 再每位比较。

public ListNode getIntersectionNode(ListNode headA, ListNode headB) {
        //获取头结点的起始结点
        ListNode curA = headA;
        ListNode curB = headB;
        int lenA = 0;
        int lenB = 0;
        //A的长度
        while (curA != null) {
            lenA++;
            curA = curA.next;
        }
        //B的长度
        while (curB != null) {
            lenB++;
            curB = curB.next;
        }
        curA = headA;
        curB = headB;

        //让curA为最长链表的头,lenA为其长度
        if (lenB > lenA) {
            int temLen = lenA;
            lenA = lenB;
            lenB = temLen;
            ListNode tempNode = curA;
            curA = curB;
            curB = tempNode;
        }

        //求长度差
        int gap = lenA - lenB;

        //让curA和curB在同一起点,末尾位置对齐,因为如果是同一结点,后面肯定是相同的。
        while (gap > 0) {
            curA = curA.next;
            gap--;
        }
        //此时,curA和curB右对齐
        while (curA != null) {
            if (curA == curB) {
                return curA;
            }
            curA = curA.next;
            curB = curB.next;
        }

        return null;
    }

在这里插入图片描述