LeetCode-515. 在每个树行中找最大值

94 阅读1分钟

1. 描述

给定一棵二叉树的根节点 root ,请找出该二叉树中每一层的最大值。

2. 示例

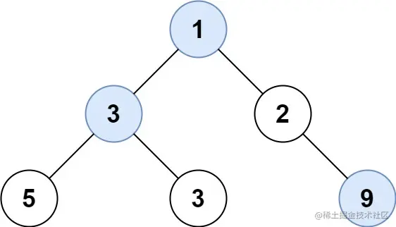
示例 1

img

输入: root = [1,3,2,5,3,null,9]
输出: [1,3,9]

示例 2

输入: root = [1,2,3]
输出: [1,3]

3. 答案

class Solution {
    public List<Integer> largestValues(TreeNode root) {
        List<Integer> res = new ArrayList<>();
        if(root == null) {
            return res;
        }
        Queue<TreeNode> queue = new LinkedList<>();
        queue.offer(root);
        while(!queue.isEmpty()) {
            int size = queue.size();
            TreeNode firstNode = queue.peek();
            int currMax = firstNode.val;
            for(int i = 0; i < size; i++) {
                TreeNode curr = queue.poll();
                currMax = Math.max(currMax, curr.val);
                if(curr.left != null) {
                    queue.offer(curr.left);
                }
                if(curr.right != null) {
                    queue.offer(curr.right);
                }
            }
            res.add(currMax);
        }
        return res;
    }
}
  • 标签:广度优先搜索
  • 思路:层序遍历,遍历每一层前获取该层节点数来控制遍历的次数
  • 时间复杂度:O(n)
  • 空间复杂度:O(n)

LeetCode:515. 在每个树行中找最大值