leetcode-链表-19-删除链表的倒数第 N 个结点

128 阅读2分钟

持续创作,加速成长!这是我参与「掘金日新计划 · 6 月更文挑战」的第30天,点击查看活动详情

今天讲解的是链表系列的1道题:

  1. 删除链表的倒数第 N 个结点

19. 删除链表的倒数第 N 个结点

leetcode地址:leetcode.cn/problems/re…

难度

中等

描述

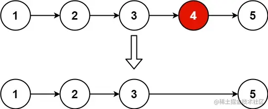
给你一个链表,删除链表的倒数第 n 个结点,并且返回链表的头结点。

image.png  

示例 1:

输入:head = [1,2,3,4,5], n = 2
输出:[1,2,3,5]

示例 2:

输入:head = [1], n = 1
输出:[]

示例 3:

输入:head = [1,2], n = 1
输出:[1]

 

提示:

链表中结点的数目为 sz 1 <= sz <= 30 0 <= Node.val <= 100 1 <= n <= sz

解法

1.采用双指针遍历的方法

2.定义虚拟头节点dummyHead,指向链表的头节点

3.定义两个指针,分别为慢指针p和快指针q,两个初始值都是虚拟头节点dummyHead

4.首先将快指针移动n步,也就是在循环中,使得 q = q.next

5.接着双指针一起往后移动,直到q.next === null,此时p.next就是要删除的结点

6.定义要删除的节点delNode,值为p.next

7.将delNode几点删除,就是将节点p指向delNode的下一个节点,也就是p.next = delNode.next

8.最后返回虚拟头节点的下一个节点,就是dummyHead.next,表示链表的真实头节点

9.注意特例判断:如果n和链表中总结点个数相同,即要删除的是链表头结点,此时直接返回head.next即可

代码

/*
 * @lc app=leetcode.cn id=19 lang=javascript
 *
 * [19] 删除链表的倒数第 N 个结点
 */

// @lc code=start
/**
 * Definition for singly-linked list.
 * function ListNode(val, next) {
 *     this.val = (val===undefined ? 0 : val)
 *     this.next = (next===undefined ? null : next)
 * }
 */
/**
 * @param {ListNode} head
 * @param {number} n
 * @return {ListNode}
 */
var removeNthFromEnd = function(head, n) {
    let dummyHead = new ListNode(0)
    dummyHead.next = head;

    let p = dummyHead;
    let q = dummyHead;
    for(let i = 0;i<n+1;i++){
        q = q.next;
    }

    // 移动p,q
    while(q){
        p = p.next;
        q= q.next;
    }

    // 删除节点
    let delNode = p.next;
    p.next = delNode.next;

    return dummyHead.next;


};
// @lc code=end