LeetCode(1):反转链表

63 阅读1分钟

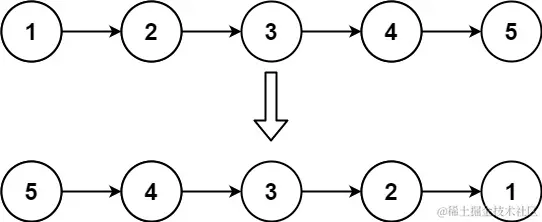
 题目要求:给你单链表的头节点 head ,请你反转链表,并返回反转后的链表。

示例:

​编辑

输入: head = [1,2,3,4,5]
输出: [5,4,3,2,1]

方法一:迭代

思路:

        在遍历链表时,将当前节点的next指针 改为 指向前一个节点。

待处理问题:

        1、当前节点没有引用其前一个节点,因此必须事先存储其前一个节点。

        2、在更改引用之前,需要存储后节点。最后返回新的头引用(新链的头节点)。

class Solution:
    def reverseList(self, head: ListNode) -> ListNode:
                                    # pre:前节点
                                    # cur:当前节点
        pre = None                  #标记前置空节点
        cur = head                  #标记链表起始位置
        while cur is not None:      #当当前节点有nexc值时候
            next=cur.next           #临时参数next存储cur的后置
            cur.next=pre            #把cur的指向改为向前
            pre=cur                 #把pre赋值为cur的值(pre后移)
            cur=next                #把cur赋值为next的值(cur后移)
        return pre                  #返回pre(头节点)

复杂度:

        时间复杂度:O(n),n是链表长度,只需要表里一遍链表长度

        空间复杂度:O(1),不需要额外的空间

方法二:递归

思路:

        递归调用自身函数进行判断,若后面还有节点,则通过两个临时参数pre、cur进行临时存放、反转当前节点方向、并后移节点

待处理问题:

        1、节点判断:需要下一个节点的next为空,否则可能会产生环

        2、pre、cur临时存放后需要进行节点后移(作为原始参数传入递归函数进行新的重复操作)

def reverseList(self, head: ListNode) -> ListNode:
    if head is None or head.next is None:        #判断是否为终止条件,如果不是执行下方替换
        return head
    
    pre = self.reverseList(head.next)            
    head.next.next = head
    head.next = None
 
    return pre

刷题链接:反转链表

参考资料:递归与迭代的区别