图解OneFlow的学习率调整策略

535 阅读7分钟

撰文|李佳

1

背景

学习率调整策略(learning rate scheduler),其实单独拎出每一个来看都不难,但是由于方法较多,上来就看文档容易一头雾水, 以OneFlow v0.7.0为例,
oneflow.optim.lr_scheduler模块中就包含了14种策略。

有没有一种更好的方法来学习呢?比如可视化出学习率的变化过程,此时,我脑海中突然浮现出Convolution Arithmetic这个经典项目,作者将各种CNN卷积操作以gif形式展示,一目了然。

所以,就有了这篇文章,将学习率调整策略可视化出来,下面是两个例子(ConstantLR和LinearLR):

我将可视化代码分别托管在Hugging Face Spaces和Streamlit Cloud,大家可以任选一个链接访问,然后自由调节参数,感受学习率的变化过程。

2

学习率调整策略

学习率可以说是训练神经网络过程中最重要的参数(之一),目前大家都已接受用动态学习率调整策略来代替固定学习率,各种学习率调整策略层出不穷,下面我们就以OneFlow v0.7.0为例,学习下常用的几种策略。

基类LRScheduler

LRScheduler(optimizer: Optimizer, last_step: int = -1, verbose: bool = False)是所有学习率调度器的基类,初始化参数中last_step和verbose一般不需要设置,前者主要和checkpoint相关,后者则是在每次step() 调用时打印学习率,可以用于 debug。LRScheduler中最重要的方法是step(),这个方法的作用就是修改用户设置的初始学习率,然后应用到下一次的Optimizer.step()。

有些资料会讲LRScheduler根据epoch或iteration/step来调整学习率,两种说法都没问题,实际上,LRScheduler并不知道当前训练到第几个epoch或第几个iteration/step,只记录了调用step()的次数(last_step),如果每个epoch调用一次,那就是根据epoch来调整学习率,如果每个mini-batch调用一次,那就是根据iteration来调整学习率。以训练Transformer模型为例,需要在每个iteration调用step()。

简单来说,LRScheduler根据调整策略本身、当前调用step()的次数(last_step)和用户设置的初始学习率来得到下一次梯度更新时的学习率。

ConstantLR

oneflow.optim.lr_scheduler.ConstantLR(
    optimizer: Optimizer,
    factor: float = 1.0 / 3,
    total_iters: int = 5,
    last_step: int = -1,
    verbose: bool = False,
)

ConstantLR和固定学习率差不多,唯一的区别是在前total_iters,学习率为初始学习率 * factor。

注意:由于factor取值[0, 1],所以这是一个学习率递增的策略。

ConstantLR

LinearLR

oneflow.optim.lr_scheduler.LinearLR(
    optimizer: Optimizer,
    start_factor: float = 1.0 / 3,
    end_factor: float = 1.0,
    total_iters: int = 5,
    last_step: int = -1,
    verbose: bool = False,
)

LinearLR和固定学习率也差不多,唯一的区别是在前total_iters,学习率先线性增加或递减,然后再固定为初始学习率 * end_factor。

注意:学习率在前total_iters是递增or递减由start_factor和end_factor大小决定。

LinearLR

ExponentialLR

oneflow.optim.lr_scheduler.ExponentialLR(
    optimizer: Optimizer,
    gamma: float,
    last_step: int = -1,
    verbose: bool = False,
)

学习率呈指数衰减,当然也可以将gamma设置为>1,进行指数增加,不过估计没人愿意这么做。

ExponentialLR

StepLR

oneflow.optim.lr_scheduler.StepLR(
    optimizer: Optimizer,
    step_size: int,
    gamma: float = 0.1,
    last_step: int = -1,
    verbose: bool = False,
)

StepLR和ExponentialLR差不多,区别是不是每一次调用step()都进行学习率调整,而是每隔step_size才调整一次。

StepLR

MultiStepLR

oneflow.optim.lr_scheduler.MultiStepLR(
    optimizer: Optimizer,
    milestones: list,
    gamma: float = 0.1,
    last_step: int = -1,
    verbose: bool = False,
)

StepLR每隔step_size就调整一次学习率,而MultiStepLR则根据用户指定的milestones进行调整,假设milestones是[2, 5, 9],在[0, 2)是lr,在[2, 5)是lr * gamma,在[5, 9)是lr * (gamma **2),在[9, )是lr * (gamma **3)。

MultiStepLR

PolynomialLR

oneflow.optim.lr_scheduler.PolynomialLR(
    optimizer,
    steps: int,
    end_learning_rate: float = 0.0001,
    power: float = 1.0,
    cycle: bool = False,
    last_step: int = -1,
    verbose: bool = False,
)

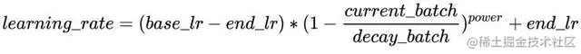
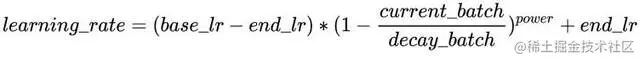
前面的学习率调整策略无非是线性或指数,PolynomialLR则根据多项式进行调整,先看cycle参数,默认是False,此时先根据多项式衰减然后再固定学习率,公式如下:

注:公式中的decay_batch就是steps,current_batch就是最新的last_step。

如果cycle是True,则稍微复杂点,类似于以steps为周期进行变化,每次从一个最大学习率衰减到end_learning_rate,每个周期的最大学习率也是逐渐衰减的,公式如下:

PolynomialLR

看下cycle=True的例子,

CosineDecayLR

oneflow.optim.lr_scheduler.CosineDecayLR(
    optimizer: Optimizer,
    decay_steps: int,
    alpha: float = 0.0,
    last_step: int = -1,
    verbose: bool = False,
)

在前decay_steps步,学习率由lr余弦衰减到lr * alpha,然后固定为lr*alpha。

注:CosineDecayLR是为了对齐TensorFlow中的CosineDecay。

CosineAnnealingLR

oneflow.optim.lr_scheduler.CosineAnnealingLR(
    optimizer: Optimizer,
    T_max: int,
    eta_min: float = 0.0,
    last_step: int = -1,
    verbose: bool = False,
)

CosineAnnealingLR和CosineDecayLR很像,区别在于前者不仅包含余弦衰减的过程,也可以包含余弦增加,在前T_max步,学习率由lr余弦衰减到eta_min, 如果cur_step > T_max,然后再余弦增加到lr,不断重复这个过程。

CosineAnnealingLR

CosineAnnealingWarmRestarts

oneflow.optim.lr_scheduler.CosineAnnealingWarmRestarts(
    optimizer: Optimizer,
    T_0: int,
    T_mult: int = 1,
    eta_min: float = 0.0,
    decay_rate: float = 1.0,
    restart_limit: int = 0,
    last_step: int = -1,
    verbose: bool = False,
)

上面三个Cosine相关的LRScheduler来自同一篇论文(SGDR: Stochastic Gradient Descent with Warm Restarts),这个参数比较多,首先看T_mul,如果T_mul=1,则学习率等周期变化,周期大小就是T_0,也就是由最大学习率衰减到最小学习率的步数(steps),注意如果decay_rate<1,则每个周期的最大学习率和最小学习率都在衰减,第一个周期由lr开始衰减,第二个周期由lr * decay_rate开始衰减,第三个周期由lr * (decay_rate ** 2)开始衰减。

如果T_mult>1,则学习率不是等周期变化,每个周期的大小是上一个周期大小T_mult,第一个周期是T_0,第二个周期是T_0 * T_mult,第三个周期是 T_0 * T_mult * T_mult。

再来看restart_limit,默认值是0,就是上面的过程,如果>0,物理含义是周期数量,假设为3,则只有三次从最大衰减到最小,然后学习率一直是eta_min,不再周期变化了。

先看个T_mult=1的例子,此时decay_rate=1,

T_mult=1, decay_rate=1

再看个T_mult=1,decay_rate=0.5的例子,注意这种组合形式并不常用。

T_mult=1, decay_rate=0.5

再来看T_mult >1的例子,

最后,再看个restart_limit != 0的例子,

3

组合调度策略

上面讲的都是单个学习率调度策略,再来看几个学习率组合调度策略,比如训练Transformer常用的Noam scheduler就需要先线性增加再指数衰减,可以通过LinearLR和ExponentialLR组合得到。也可以直接使用LambdaLR传入学习率变化函数。

LambdaLR

oneflow.optim.lr_scheduler.LambdaLR(optimizer, lr_lambda, last_step=-1, verbose=False)

LambdaLR可以说是最灵活的策略了,因为具体的方法是根据函数lr_lambda来指定的。比如实现Transformer中的Noam Scheduler:

def rate(step, model_size, factor, warmup):
    """
    we have to default the step to 1 for LambdaLR function
    to avoid zero raising to negative power.
    """
    if step == 0:
        step = 1
    return factor * (
        model_size ** (-0.5) * min(step ** (-0.5), step * warmup ** (-1.5))
    )




model = CustomTransformer(...)
optimizer = flow.optim.Adam(
    model.parameters(), lr=1.0, betas=(0.9, 0.98), eps=1e-9
)
lr_scheduler = LambdaLR(
    optimizer=optimizer,
    lr_lambda=lambda step: rate(step, d_model, factor=1, warmup=3000),
)

注意:OneFlow的Graph模式并不支持LambdaLR。

SequentialLR

oneflow.optim.lr_scheduler.SequentialLR(
    optimizer: Optimizer,
    schedulers: Sequence[LRScheduler],
    milestones: Sequence[int],
    interval_rescaling: Union[Sequence[bool], bool] = False,
    last_step: int = -1,
    verbose: bool = False,
)

支持传入多个LRScheduler,每个LRScheduler的作用范围(step range)由milestones指定,主要看下interval_rescaling这个参数,默认是False,目的是让相邻的两个scheduler在衔接时学习率比较平滑,比如milestones=[5],当last_step=5时,第二个schduler就从last_step=5开始计算新的学习率,这样和last_step=4(前一个scheduler计算学习率)得到的学习率不会有过大差异,而interval_rescaling=True时,则这个scheduler的last_step从0开始。

WarmupLR

oneflow.optim.lr_scheduler.WarmupLR(
    scheduler_or_optimizer: Union[LRScheduler, Optimizer],
    warmup_factor: float = 1.0 / 3,
    warmup_iters: int = 5,
    warmup_method: str = "linear",
    warmup_prefix: bool = False,
    last_step=-1,
    verbose=False,
)

WarmupLR是SequentialLR的子类,包含两个LRScheduler,并且第一个要么是ConstantLR,要么是LinearLR。

ChainedScheduler

oneflow.optim.lr_scheduler.ChainedScheduler(schedulers)

前面讲的组合形式的调度策略,在每一个step,只有一个LRScheduler发挥作用,而ChainedScheduler,在每一个step计算学习率时,所有的LRScheduler都参与,类似于管道(pipeline)

lr ==> LRScheduler_1 ==> LRScheduler_2 ==> ... ==> LRScheduler_N

ReduceLROnPlateau

oneflow.optim.lr_scheduler.ReduceLROnPlateau(
    optimizer,
    mode="min",
    factor=0.1,
    patience=10,
    threshold=1e-4,
    threshold_mode="rel",
    cooldown=0,
    min_lr=0,
    eps=1e-8,
    verbose=False,
)

前面提到的所有LRScheduler都是根据当前的step来计算学习率,而在模型训练过程中,我们最关心的是训练集和验证集上面的指标,能不能利用这些指标来指导学习率变化呢?这时候可以用ReduceLROnPlateau,如果某项指标多个step都未发生显著变化,则学习率进行线性衰减。

optimizer = flow.optim.SGD(model.parameters(), lr=0.1, momentum=0.9)
scheduler = flow.optim.lr_scheduler.ReduceLROnPlateau(optimizer, 'min')
for epoch in range(10):
    train(...)
    val_loss = validate(...)
    # 注意,该步骤应在validate()之后调用。
    scheduler.step(val_loss)

4

实践

如果看到这里有点意犹未尽的感觉,不如动手实践一下,下面是我根据官方的图片分类实例改写的CIFAR-100例子,可以设置不同的学习率调度策略来感受下差异

(本文经授权后发布,原文:zhuanlan.zhihu.com/p/520719314

欢迎下载体验 OneFlow v0.7.0 最新版本:
github.com/Oneflow-Inc…