力扣链表easy专题:LinkedList 4- 21. 合并两个有序链表 5-141. 环形链表

175 阅读1分钟

image.png
如图:在力扣官方的链表(LInked List)题目中,有五题是必须要掌握的: 1.删除 2. 3. 4. 5.

将两个升序链表合并为一个新的 升序 链表并返回。新链表是通过拼接给定的两个链表的所有节点组成的。

image.png

输入: l1 = [1,2,4], l2 = [1,3,4]
输出: [1,1,2,3,4,4]

链表4- 21. 合并两个有序链表

class Solution:
    def mergeTwoLists(self, l1: ListNode, l2: ListNode) -> ListNode:
        if l1 is None:
            return l2
        elif l2 is None:
            return l1
        elif l1.val < l2.val:
            l1.next = self.mergeTwoLists(l1.next, l2)
            return l1
        else:
            l2.next = self.mergeTwoLists(l1, l2.next)
            return l2
class Solution:
    def mergeTwoLists(self,l1:ListNode,l2:ListNode) ->ListNode:
        if l1 is None:
            return l2
        elif l2 is None:
            return l1
        elif l1.val< l2.val:
            l1.next =self.mergeTwoLists(l1.next,l2)
            return l1
        else:
            l2.next =self.mergeTwoLists(l1,l2.next)
            return l2

5- 141. 环形链表

给你一个链表的头节点 head ,判断链表中是否有环。

如果链表中有某个节点,可以通过连续跟踪 next 指针再次到达,则链表中存在环。 为了表示给定链表中的环,评测系统内部使用整数 pos 来表示链表尾连接到链表中的位置(索引从 0 开始)。注意:pos 不作为参数进行传递 。仅仅是为了标识链表的实际情况。

如果链表中存在环 ,则返回 true 。 否则,返回 false 。

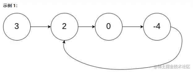
image.png

输入: head = [3,2,0,-4], pos = 1
输出: true
解释: 链表中有一个环,其尾部连接到第二个节点。
class Solution:
   def hasCycle(self, head: ListNode) -> bool:
        seen = set()
        while head:
            if head in seen:
                return True
            seen.add(head)
            head = head.next
        return False
class Solution:
    def hasCycle(self,head:ListNode)-> bool:
        seen = set()
        while head:
            if head in seen:
                return True
            seen.add(head)
            head= head.next
        return False