【LeetCode】199. 二叉树的右视图

106 阅读1分钟

持续创作,加速成长!这是我参与「掘金日新计划 · 6 月更文挑战」的第20天,点击查看活动详情

题目

给定一个二叉树的 根节点 root,想象自己站在它的右侧,按照从顶部到底部的顺序,返回从右侧所能看到的节点值。

示例 1

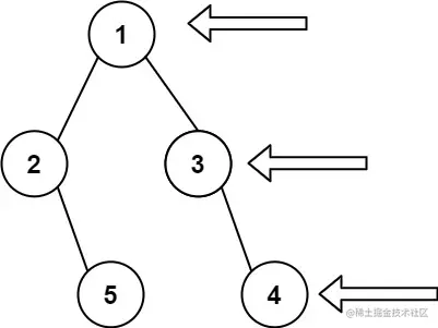
输入: [1,2,3,null,5,null,4]
输出: [1,3,4]

示例 2

输入: [1,null,3]
输出: [1,3]

示例 3

输入: []
输出: []

提示

  • 二叉树的节点个数的范围是 [0,100]
  • -100 <= Node.val <= 100

题解

思路

由于二叉树的右视图包含的结点值为从顶部到底部的每一层的最右边的结点值,因此可以使用层序遍历实现。

层序遍历的方法为从根结点开始依次遍历每一层的结点,同一层的结点的遍历顺序为从左到右,因此在遍历每一层时,最右边的结点一定是最后被访问的。只要得到每一层最后被访问的结点,即可得到二叉树的右视图。

为了得到每一层最后被访问的结点,在层序遍历的过程中需要区分不同结点所在的层,确保每一轮访问的结点为同一层的全部结点。

使用队列存储待访问的结点,初始时将根结点入队列。每一轮访问结点之前首先得到队列内的元素个数,然后访问这些结点,并将这些结点的非空子结点入队列。该做法可以确保每一轮访问的结点为同一层的全部结点。

将每一层最后被访问的结点添加到右视图序列中,遍历结束之后即可得到二叉树的右视图。

代码

class Solution {
    public List<Integer> rightSideView(TreeNode root) {
        List<Integer> view = new ArrayList<Integer>();
        if (root == null) {
            return view;
        }
        Queue<TreeNode> queue = new ArrayDeque<TreeNode>();
        queue.offer(root);
        while (!queue.isEmpty()) {
            List<Integer> levelValues = new ArrayList<Integer>();
            int size = queue.size();
            for (int i = 0; i < size; i++) {
                TreeNode node = queue.poll();
                if (i == size - 1) {
                    view.add(node.val);
                }
                if (node.left != null) {
                    queue.offer(node.left);
                }
                if (node.right != null) {
                    queue.offer(node.right);
                }
            }
        }
        return view;
    }
}

结语

业精于勤,荒于嬉;行成于思,毁于随。