leetcode刷题记录-513. 找树左下角的值

95 阅读2分钟

持续创作,加速成长!这是我参与「掘金日新计划 · 6 月更文挑战」的第24天,点击查看活动详情

前言

今天的题目为中等,简单的二叉树遍历题目,只需要简单的转换一下遍历思路就能够实现。

每日一题

今天的题目是 513. 找树左下角的值,难度为中等

  • 给定一个二叉树的 根节点 root,请找出该二叉树的 最底层 最左边 节点的值。

  • 假设二叉树中至少有一个节点。

 

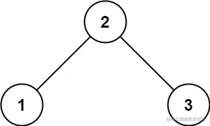
示例 1:

image.png

输入: root = [2,1,3]
输出: 1

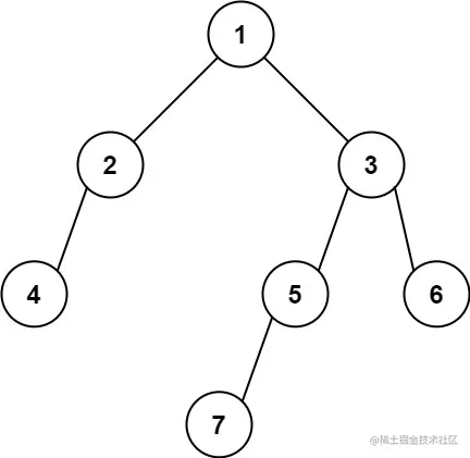
示例 2:

image.png

输入: [1,2,3,4,null,5,6,null,null,7]
输出: 7

 

提示:

  • 二叉树的节点个数的范围是 [1,104]
  • -231 <= Node.val <= 231 - 1 

题解

广度优先遍历

对于广度优先遍历来说,在 JS 中能够借助数组来实现,如下图,最开始先将根节点放入数组,然后每次移出数组的第一项,并且把第一项的左孩子和右孩子加入数组,以此类推,一直进行下去,我们就能够得到二叉树的层序遍历。

image.png

但是题目需要的是最左边的根节点,那么我们是不是能转变一下思路,层序遍历是由左往右,我们可以更换一下左孩子和右孩子push进数组的顺序,改为右孩子先进然后才是左孩子,这样子,层序遍历的方向就会反过来,我们所需要的最后一层的最左边的节点,就能够在数组的最后一个拿到了。

/**
 * Definition for a binary tree node.
 * class TreeNode {
 *     val: number
 *     left: TreeNode | null
 *     right: TreeNode | null
 *     constructor(val?: number, left?: TreeNode | null, right?: TreeNode | null) {
 *         this.val = (val===undefined ? 0 : val)
 *         this.left = (left===undefined ? null : left)
 *         this.right = (right===undefined ? null : right)
 *     }
 * }
 */

function findBottomLeftValue(root: TreeNode | null): number {
    let ans = 0;
    const rootArr = [root];
    while (rootArr.length) {
        const node = rootArr.shift();
        if (node.right) {
            rootArr.push(node.right);
        }
        if (node.left) {
            rootArr.push(node.left);
        }
        ans = node.val;
    }
    return ans;
};

image.png