Redis key及常用五大数据类型

1,036 阅读10分钟

​ 本文已参与【新人创作礼】活动,一起开启掘金创作之路。

目录

一、Redis 键(key)

二、Redis  字符串(String) 

1.简介

2.常用命令

3.数据结构 

三、 Redis  列表(List)

1.简介

2.常用命令

3.数据结构

 四、Redis  集合(Set)

1.简介

2.常用命令

3.数据结构

五、Redis  哈希(Hash) 

1.简介

2.常用命令

3.数据结构

六、Redis  有序集合 Zset(sorted set)

1.  简介

2.常用命令

3.数据结构

4.跳跃表(跳表) 

1、简介

2、实例


一、Redis 键(key)

keys *

查看当前库所有 key

也可以单个匹配(keys  key) 

exists key

判断某个 key 是否存在,1 表示存在,0表示不存在

type key

查看你的 key 是什么类型

del key

删除指定的 key 数据

unlink key

根据 value 选择非阻塞删除,仅将 keys 从 keyspace 元数据中删除,真正的删除会在后续异步操作。

expire key 数字

为给定的 key 设置过期时间

expire key 10:设置过期时间为10s

ttl key

查看还有多少秒过期,-1 表示永不过期,-2表示已过期

select 数字

命令切换数据库(默认在0数据库)

select 1 :切换到1数据库

dbsize

查看当前数据库的 key 的数量

flushdb

清空当前库

flushall

通杀全部库

二、Redis  字符串(String) 

1.简介

  • String 类型是二进制安全的。意味着 Redis 的 string可以包含任何数据。比如 jpg图片或者序列化的对象。
  • 一个 Redis中字符串 value最多可以是 512M。

2.常用命令

set

添加键值对,可以修改已存在的key的值

参数说明:

  • *NX:只有 key 不存在时设置,与XX互斥
  • *XX:仅在 key 存在时设置,可以修改value的值,key如果就没有却设置了此参数则无法创建key-value键值对
  • *EX:key 指定的过期时间,单位 秒
  • *PX:key 指定的过期时间,单位 毫秒,与EX互斥
# 设置key 10s 过期
set k1 v1 EX 10

#假设原本的k1值为v1,且key没有过期,则k1值将变为v2
set k1 v2 XX

 get

查询对应键值

append

将给定的 追加到原值的末尾

strlen

获得值的长度

setnx

只有在 key 不存在时 设置 key 的值

incr

将 key 中储存的数字值增 1
只能对数字值操作,如果为空,新增值为 1 

decr

将 key 中储存的数字值减 1
只能对数字值操作,如果为空,新增值为-1 

incrby / decrby <步长>

将 key 中储存的数字值增减。自定义步长

原子性 

​编辑

所谓原子操作是指不会被线程调度机制打断的操作; 

(1)在单线程中, 能够在单条指令中完成的操作都可以认为是"原子操作",因为中
断只能发生于指令之间。
(2)在多线程中,不能被其它进程(线程)打断的操作就叫原子操作。
Redis 单命令的原子性主要得益于 Redis的单线程

 mset .....

同时设置一个或多个 key-value 对

mget .....

同时获取一个或多个 value

msetnx .....

同时设置一个或多个 key-value 对,当且仅当所有给定 key 都不存在。

原子性,有一个失败则都失败 

getrange <起始位置><结束位置>

获得值的范围,类似 java 中的 substring,前包,后包

get k1 qwerty

getrange k1 1 3  结果为wer 

setrange <起始位置>

用 覆写所储存的字符串值,从<起始位置>开始(索引从 0 开始)。

setex <过期时间>

设置键值的同时,设置过期时间,单位秒。 

getset

以新换旧,设置了新值同时获得旧值。 

3.数据结构 

String 的数据结构为简单动态字符串, 是可以修改的字符串,内部结构实现上类似于 Java 的 ArrayList,采用预分配冗余空间的方式来减少内存的频繁分配。

​编辑

如图中所示,内部为当前字符串实际分配的空间 capacity一般要高于实际字符串长度len。当字符串长度小于 1M时,扩容都是加倍现有的空间,如果超过 1M,扩容时一次只会多扩 1M的空间。需要注意的是字符串最大长度为 512M。 

三、 Redis  列表(List)

1.简介

单键多值

Redis 列表是简单的字符串列表,按照插入顺序排序。你可以添加一个元素到列表的头
部(左边)或者尾部(右边)。

它的底层实际是个双向链表,对两端的操作性能很高,通过索引下标的操作中间的节
点性能会较差。

​编辑

2.常用命令

lpush/rpush ....

从左边/右边插入一个或多个值。 

lpop/rpop

从左边/右边吐出一个值。值在键在,值光键亡。 

rpoplpush

从列表右边吐出一个值,插到列表左边。 

lrange

按照索引下标获得元素(从左到右)

lrange mylist 0 -1

0 左边第一个,-1 右边第一个,(0-1 表示获取所有)

lindex

按照索引下标获得元素(从左到右)

llen

获得列表长度

linsert before

在的后面插入插入值

lrem

从左边删除 n 个 value(从左到右)

lset

将列表 key 下标为 index 的值替换成 value 

3.数据结构

List 的数据结构为快速链表 quickList

首先在列表元素较少的情况下会使用一块连续的内存存储,这个结构是 ziplist,也即是压缩列表, 它将所有的元素紧挨着一起存储,分配的是一块连续的内存。

当数据量比较多的时候才会改成 quicklist。

因为普通的链表需要的附加指针空间太大,会比较浪费空间。比如这个列表里存的只
是 int类型的数据,结构上还需要两个额外的指针 prev和 next。

​编辑

Redis将链表和 ziplist 结合起来组成了 quicklist。也就是将多个 ziplist 使用双向指针串起来使用。这样既满足了快速的插入删除性能,又不会出现太大的空间冗余。  

 四、Redis  集合(Set)

1.简介

当你需要存储一个列表数据,又不希望出现重复数据时,set 是一个很好的选择,并且 set提供了判断某个成员是否在一个 set集合内的重要接口,这个也是 list所不能提供的。

Redis 的 Set 是 string类型的无序集合。它底层其实是一个 value 为 null 的 hash表,所
以添加,删除,查找的复杂度都是 O(1)。

数据增加,查找数据的时间不变。

2.常用命令

sadd .....

将一个或多个 member 元素加入到集合 key 中,已经存在的 member 元素将被忽略

smembers

取出该集合的所有值。

sismember

判断集合是否为含有该值,有 1,没有 0

scard

返回该集合的元素个数。

srem ....

删除集合中的某个元素。

spop

随机从该集合中吐出一个值。

srandmember

随机从该集合中取出 n 个值。不会从集合中删除 。

smove

把集合中一个值从一个集合移动到另一个集合

sinter

返回两个集合的交集元素。

sunion

返回两个集合的并集元素。

sdiff

返回两个集合的差集元素(key1 中的,不包含 key2中的)

3.数据结构

Set 数据结构是 dict字典,字典是用哈希表实现的。

Java 中 HashSet 的内部实现使用的是 HashMap,只不过所有的 value 都指向同一个对象。Redis的 set结构也是一样,它的内部也使用 hash结构,所有的 value都指向同一个内部值。

五、Redis  哈希(Hash) 

1.简介

Redis hash 是一个 string 类型的 field 和 value 的映射表,hash 特别适合用于存储对象。

类似 Java 里面的 Map<String,Object>,用户 ID 为查找的 key,存储的 value用户对象包含姓名,年龄,生日等信息。

如果用普通的 key/value结构来存储,主要有以下 2 种存储方式:

​编辑

每次修改用户的某个属性需要,先反序列化改好后再序列化回去。开销较大。

​编辑

用户 ID数据冗余 

使用hash

​编辑

通过 key(户 用户 ID) + field( 属性标签)  就可以操作对应属性数据了,既不需要重复存储数
据,也不会带来序列化和并发修改控制的问题 

2.常用命令

hset

给集合中的 键赋值

hget

从集合取出 value

hmset ...

批量设置 hash 的值

hexists

查看哈希表 key 中,给定域 field 是否存在。

hkeys

列出该 hash 集合的所有 field

hvals

列出该 hash 集合的所有 value

hincrby

为哈希表 key 中的域 field 的值加上增量 1 -1

hsetnx

将哈希表 key 中的域 field 的值设置为 value ,当且仅当域field 不存在 . 

3.数据结构

Hash 类型对应的数据结构是两种:ziplist(压缩列表),hashtable(哈希表)。当field-value 长度较短且个数较少时,使用 ziplist,否则使用 hashtable。 

六、Redis  有序集合 Zset(sorted set)

1.  简介

有序集合的每个成员都关联了一个评分(score),这个评分被用来按照从最低分到最高分的方式排序集合中的成员。集合的成员是唯一的,但是评分可以是重复的 。

因为元素是有序的, 所以你也可以很快的根据评分或者次序来获取一个范围的元素。

访问有序集合的中间元素也是非常快的,因此你能够使用有序集合作为一个没有重复成员的智能列表。

2.常用命令

zadd …

将一个或多个 member 元素及其 score 值加入到有序集 key 当中。

zrange [WITHSCORES]

返回有序集 key 中,下标在之间的元素
带 WITHSCORES,可以让分数一起和值返回到结果集。

zrangebyscore key minmax [withscores] [limit offset count]

返回有序集 key 中,所有 score 值介于 min 和 max 之间(包括等于 min 或 max )的成员。
有序集成员按 score 值递增(从小到大)次序排列。

zrevrangebyscore key maxmin [withscores] [limit offset count]

同上,改为从大到小排列。

zincrby

为元素的 score加上增量

zrem

删除该集合下,指定值的元素

zcount

统计该集合,分数区间内的元素个数

zrank

返回该值在集合中的排名,从 0 开始。

案例:如何利用 zset 实现一个文章访问量的排行榜? 

​编辑

3.数据结构

ZSet 一方面它等价于 Java的数据结构 Map<String, Double>,可以给每一个元素 value 赋予一个权重 score,另一方面它又类似于 TreeSet,内部的元素会按照权重 score 进行排序,可以得到每个元素的名次,还可以通过 score 的范围来获取元素的列表。

zset 底层使用了两个数据结构
(1)hash,hash 的作用就是关联元素 value 和权重 score,保障元素 value 的唯一性,可以通过元素 value 找到相应的 score 值。
(2)跳跃表,跳跃表的目的在于给元素 value 排序,根据 score 的范围获取元素列表。 

4.跳跃表(跳表) 

1、简介

数组不便元素的插入、删除;平衡树或红黑树虽然效率高但结构复杂;链表查询需要遍历所有效率低。Redis采用的是跳跃表。跳跃表效率堪比红黑树,实现远比红黑树简单。

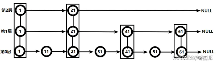
2、实例

对比有序链表和跳跃表,从链表中查询出 51

(1) 有序链表

​编辑

要查找值为 51 的元素,需要从第一个元素开始依次查找、比较才能找到。共需要 6 次比较。
(2) 跳跃表

​编辑

从第 2 层开始,1 节点比 51 节点小,向后比较。
21 节点比 51 节点小,继续向后比较,后面就是 NULL 了,所以从 21 节点向下到第 1 层
在第 1 层,41 节点比 51 节点小,继续向后,61 节点比 51 节点大,所以从 41 向下
在第 0 层,51 节点为要查找的节点,节点被找到,共查找 4 次。

从此可以看出跳跃表比有序链表效率要高