第3讲:函数极限与连续性

144 阅读1分钟

第3讲:函数极限与连续性


题集星级正误题解相关考点
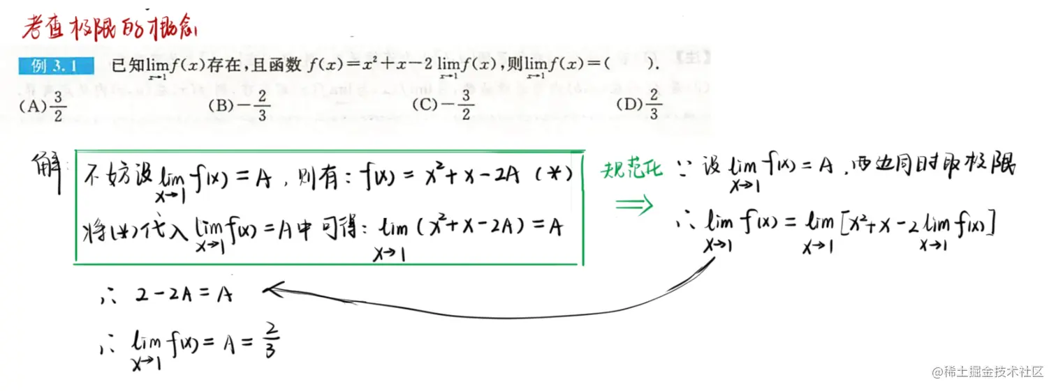
例3-1★★规范化步骤极限的概念(可扩展
例3-2★★★考虑两侧极限的情况函数极限唯一性
例3-2*★★★考虑两侧极限的情况函数极限唯一性
例3-3
例3-4
例3-5
例3-6
例3-7
例3-8
例3-9
例3-10
例3-11
例3-12
例3-13
例3-14
例3-15
例3-16
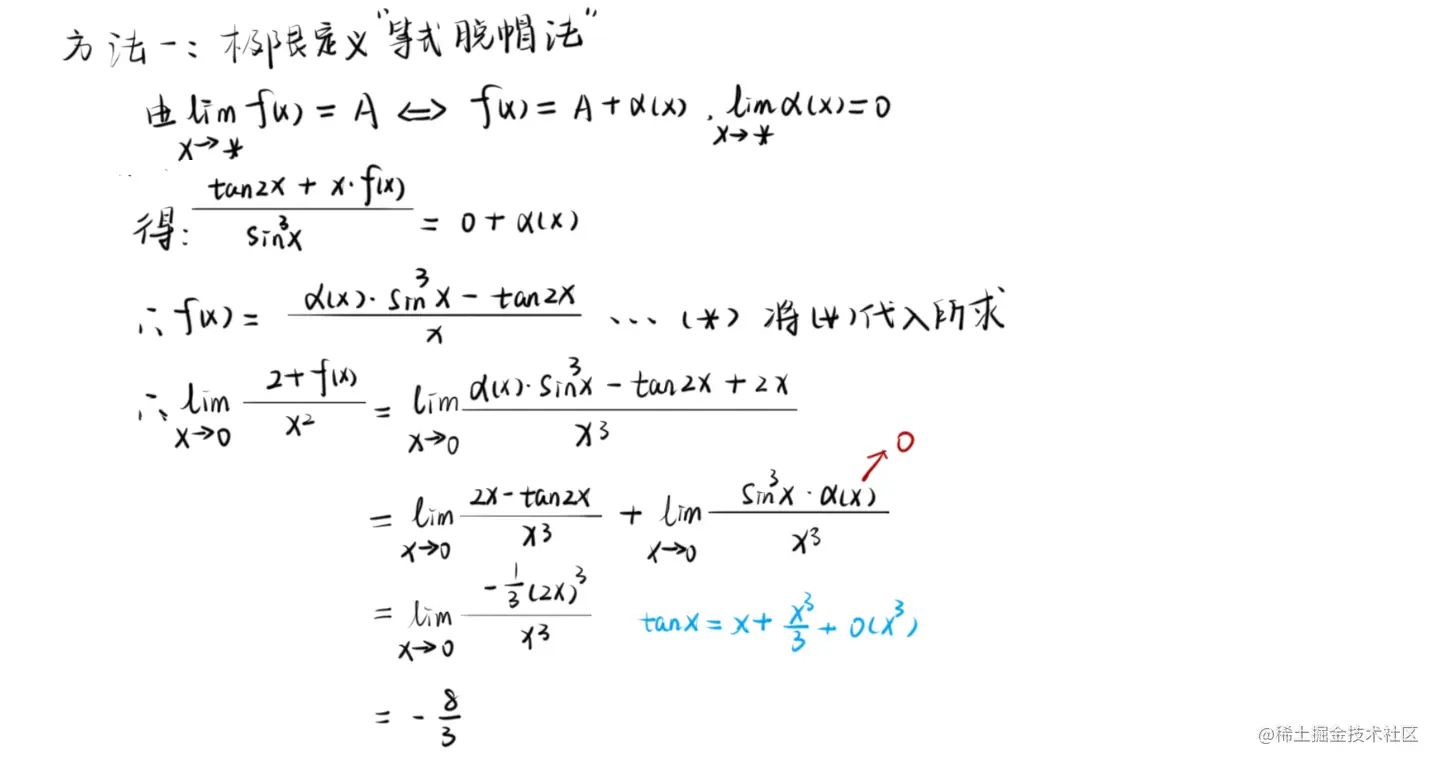
例3-17★★★泰勒展开已知极限求反函数
例3-18
例3-19
例3-20
例3-21
例3-22
例3-23
例3-24
例3-1:

image-20220621160107139.png

image-20220621160116191.png

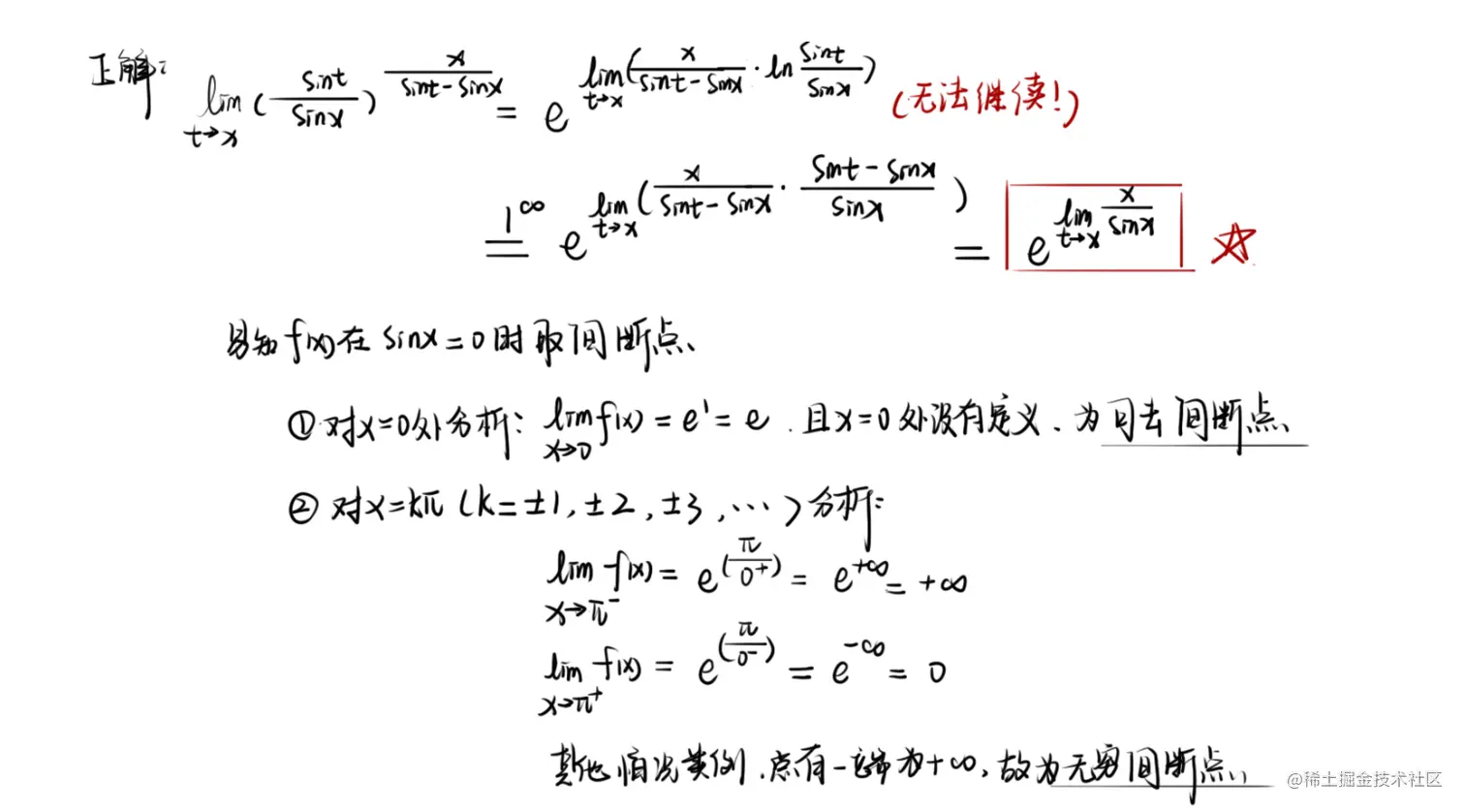
例3-2:

image-20220621160137709.png

image-20220621160203327.png

例3-3:

image-20220621160225225.png

例3-8:

image-20220621160242810.png

例3-13:

image-20220621160258094.png

例3-14:

image-20220621160321506.png

例3-15:

image-20220621160343392.png

例3-16:

image-20220621160424508.png

image-20220621160441485.png

image-20220621160451305.png

例3-17:

image-20220621160601580.png

例3-18:

image-20220621160626174.png

例3-19:

image-20220621160651942.png

image-20220621160706350.png

例3-20:

image-20220621160738026.png

例3-22:

image-20220621160756389.png

image-20220621160817448.png

例3-23:

image-20220621160837542.png

image-20220621160849495.png

例3-24:

image-20220621160910013.png

image-20220621160919792.png