第1讲:高数预备知识

97 阅读1分钟

第1讲:高数预备知识


题集星级正误题解相关考点
例1-1换元法复合函数
例1-2注意开平方操作
例1-3反双曲正弦函数
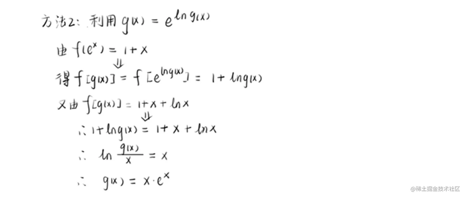
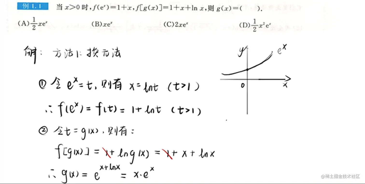
例1-1:

image-20220621151752039.png

image-20220621151820550.png

例1-2:

image-20220621151912613.png

例1-3:

image-20220621152003434.png