相机的图像坐标和物理坐标

413 阅读2分钟

本文已参与「新人创作礼」活动,一起开启掘金创作之路。

相机的图像坐标和物理坐标

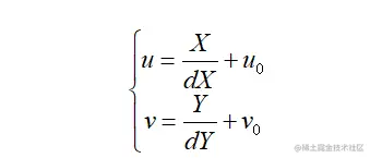
摄像机采集的每一幅数字图像在计算机内,存储形式都是行的数组,的图像中每一个元素(称为像素,pixel)的数值称为图像的灰度(亮度)。如图3.2,在图像上定义直角坐标系。任意一个像素的坐标分别是该像素在数组中所在的行数和列数。所以,是以像素为单位的图像坐标系。由于只是以像素在数组中的行和列表示出了该像素的位置,并没有用物理单位表示出来。因此,接下来需要建立物理坐标系,以物理单位表示像素的位置。物理坐标系的原点为摄像机的光轴和图像平面的交点,轴和轴分别和轴、轴平行。

image.png . 若坐标系中的坐标为,每一个像素在轴和轴上的物理尺寸为,则图像中任意一个像素在图像坐标系和物理坐标系中的坐标有如下关系:

image.png

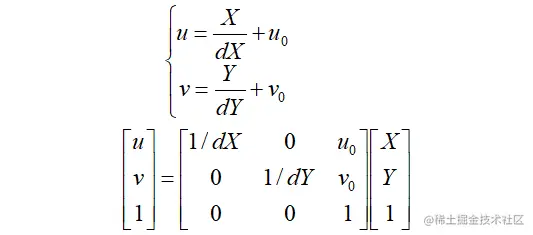
为了方便,用齐次和坐标形式表示为:

image.png

摄像机坐标系

为了分析摄像机成像几何的关系,我们定义一个摄像机坐标系,摄像机坐标系的原点在摄像机的光心上,轴和轴和图像坐标系中轴和轴平行,为摄像机的光轴,它和图像平面垂直,光轴和图像平面的交点即为图像物理坐标系的原点,摄像机成像几何关系如图3.3所示,其形式为针孔成像模型。图中即为摄像机坐标系,为摄像机的焦距。

image.png

世界坐标系

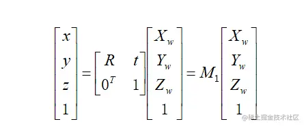
由于摄像机可以安装在环境中的任意位置,所以在环境中还应该选取一个基准坐标来描述摄像机的的位置,并用它描述环境中其他任何物体的位置,该坐标系称为世界坐标系。它由轴组成,如图3.3所示,摄像机坐标系和世界坐标系之间的关系可以用旋转矩阵和平移矩阵来描述。若空间某点在世界坐标系和摄像机坐标系下的齐次坐标如果分别是,则存在如下关系:

image.png

其中,的正交单位矩阵,为三维平移向量,的矩阵。