Involution:空间不共享?可完全替代卷积的高性能算子 | CVPR 2021

239 阅读6分钟

其实这篇文章很早就写好了,但作者其它论文涉及到洗稿问题,所以先放着了。目前看这篇文章没被举报有洗稿的嫌疑,所以就发出来了
. 来源:晓飞的算法工程笔记 公众号

论文: Involution: Inverting the Inherence of Convolution for Visual Recognition

Introduction


  论文认为卷积操作有三个问题:

  • 空间不变(spatial-agnostic)的计算方式虽然节省参数以及带来平移不变性,却也剥夺了卷积从不同位置发掘不同特征的能力。
  • 常用的卷积核大小为3×33\times 3,过小的感受野会约束与长距离特征的互动,限制特征提取能力。
  • 卷积核的冗余性已经被广泛地发现。

  为了解决上述的问题,论文提出了与卷积有相反属性的操作involution,核参数在空间上面特异,而在通道上面共享,主要有以下两个优点:

  • 通道共享减少了大量参数,使得involution可以使用更大的核,从而能够捕捉长距离特征。
  • 由于involution是空间特异的,相同的网络不同的输入会产生不同大小的特征图,对应的核大小也不一样,所以involution根据输入特征动态生成核参数,能够自适应地提取更多的视觉信息,达到类似attention的效果。

Design of Involution


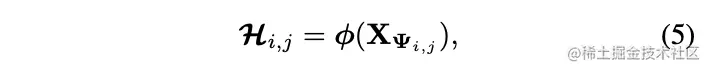
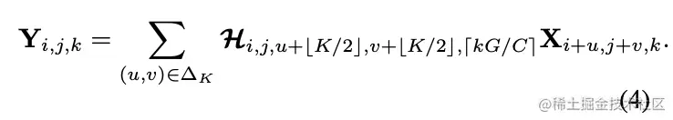
  一组involution核可表示为HRH×W×K×K×G\mathcal{H}\in \mathbb{R}^{H\times W\times K\times K\times G},这里的分组与卷积相反,增加分组是为了增加核的复杂性。对于像素Xi,jRCX_{i,j}\in \mathbb{R}^C,其involution核为Hi,j,,,gRK×K\mathcal{H}_{i,j,\cdot,\cdot,g}\in \mathbb{R}^{K\times K}g=1,2,,Gg=1,2,\cdots,G为involtion核的分组,组内核共享。involution的特征图输出通过对输入特征进行Multiply-Add操作得到:

kk为通道编号,involution核的大小取决于输入特征图的大小,通过核生成函数ϕ\phi动态生成:

Ψi,j\Psi_{i,j}Hi,j\mathcal{H}_{i,j}对应的输入像素合集。

Implementation Details

  为了简洁,论文直接从单个像素Xi,jX_{i,j}生成对应的involution核Hi,j\mathcal{H}_{i,j},更复杂的结构也许能带来更好的性能,但不是当前主要的工作。定义核生成函数ϕ\phi:RCRK×K×G\mathbb{R}^C\mapsto\mathbb{R}^{K\times K\times G}Ψi,j={(i,j)}\Psi_{i,j}=\{(i,j)\}

W0RCr×CW_0\in\mathbb{R}^{\frac{C}{r}\times C}W1R(K×K×G)×CrW_1\in\mathbb{R}^{(K\times K\times G)\times\frac{C}{r}}为线性变换,共同构成一个bottleneck结构,rr为压缩因子,σ\sigma为BN+非线性激活。

  公式4和公式6可表示为算法1和图1,在每个位置(i,j)(i,j)通过核生成函数生成对应的involution核,再对该位置进行计算得到输出。
在构建完整的网络时,以ResNet作为基础,将stem(开头)的bottleneck中的3×33\times 3卷积替换成3×33\times 37×77\times 7的involution,将trunk(后续)的bottleneck中的3×33\times 3卷积替换成7×77\times 7的involution,1×11\times 1卷积保留用作通道融合与扩展。
Involution的优势在于通道信息在核生成时利用了起来,并且后续使用较大的感受野获得更大的空间信息。另外在使用时,前后的1×11\times 1卷积也增加了通道交互,从而提升了整体的性能。

In Context of Prior Literature


  下面分别对involution进行两方面的探讨,分别是参数量下降的来源以及性能提升的来源。

Convolution and Variants

  Involution的思想十分简洁,从卷积的通道特异、空间共享转换成通道共享、空间特异,我们从参数量和计算量两块来进行分析(不考虑bias和involution的G):

  • 参数量方面,卷积和involution分别为C×K×K×CC\times K\times K\times CH×W×K×K×CH\times W\times K\times K\times C,由于网络后续的特征图较小特点,involution能够节省大量的参数。
  • 计算量方面,不考虑核生成部分,卷积和involtion分别为H×W×C×K×K×CH\times W \times C\times K\times K\times CH×W×K×K×CH\times W\times K\times K\times C,由于involution在输出单像素结果时不需要像卷积那样综合多通道输入,计算量减少了一个量级。

  因为标准卷积实际上会融合多个输入通道进行输出,而且通道不共享,导致参数量和计算量都很高。而分组卷积减少了标准卷积中输出通道与输入通道之间的大量关联,和invlotion在参数量和计算量上有十分相似的地方:

  • 参数量方面,分组卷积和involution分别为CG×K×K×C\frac{C}{G}\times K\times K\times CH×W×K×K×GH\times W\times K\times K\times G,而G=CG=C的分组卷积和G=1G=1的involution的参数量分别为K×K×CK\times K\times CH×W×K×KH\times W\times K\times K,两者十分接近。
  • 计算量方面,不考虑核生成部分,分组卷积和involution分别为CG×H×W×K×K×C\frac{C}{G}\times H\times W \times K\times K\times CH×W×K×K×CH\times W\times K\times K\times C,而G=CG=C的分组卷积和G=1G=1的involtion分别为H×W×K×K×CH\times W\times K\times K\times CH×W×K×K×CH\times W\times K\times K\times C,两者完全一致。

G=CG=C的分组卷积即depthwise卷积,G=1G=1的involution和depthwise卷积两者在结构上也可以认为是完全对立的,一个则通道共享、空间独立,另一个通道独立、空间共享,而在depthwise卷积上加上空间特异的属性即G=CG=C的involution。但在之前很多的研究中,depthwise卷积一般都只用于轻量化网络的搭建,会牺牲部分准确率,而involution却能在减少部分参数量的同时提升准确率。我觉得除了空间特异带来大量参数之外,主要得益于两个部分设计:1)核大小增加到7×77\times 7。 2) 根据输入特征动态生成核参数。如果将depthwise卷积按类似的设置替换卷积核,不知道能否达到类似的结果。

Attention Mechanism

  self-attention起源于nlp任务,目前在视觉上的应用十分火热,有不错的性能表现。将输入向量线性转化成查询项QQ、关键词项KK以及值项VV后,先用QKTQK^{T}计算出相似性,再对值项加权后输出,大致的公式为:

  如果将involution的核生成函数H\mathcal{H}看成是QKTQK^{T}的话,则可认为involution在某种意义上等同于self-attention,position encoding的信息也可认为是隐藏在了核生成函数里面,与生成的位置相关。文章花了很多篇幅去说明involution是self-attention的高层定义,有兴趣的可以去看看。不过我们只要理解,involution在特征图的不同位置动态生成了不同的核参数,功能上类似于self-attention中的attention即可,这也是involution能够提升准确率的关键。

Experiment


  从实验结果来看,由involution搭建的ReaNet能够在准确率提升的情况下减少大量的参数,从实际速度来看,GPU速度与ResNet差不多,CPU速度则提升很大。

Conclusion


  论文创新地提出了与卷积特性完全相反的基础算子Involution,该算子在通道上共享,而在空间上特异,不仅能够大幅减少参数量,还集成了attention的特性,在速度和准确率上都有很不错的表现。



如果本文对你有帮助,麻烦点个赞或在看呗~
更多内容请关注 微信公众号【晓飞的算法工程笔记】