LeetCode探索(96):508-出现次数最多的子树元素和

134 阅读1分钟

持续创作,加速成长!这是我参与「掘金日新计划 · 6 月更文挑战」的第24天,点击查看活动详情

题目

给你一个二叉树的根结点 root ,请返回出现次数最多的子树元素和。如果有多个元素出现的次数相同,返回所有出现次数最多的子树元素和(不限顺序)。

一个结点的 「子树元素和」 定义为以该结点为根的二叉树上所有结点的元素之和(包括结点本身)。

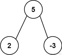
示例 1:

img

输入: root = [5,2,-3]
输出: [2,-3,4]

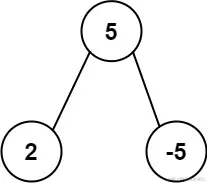
示例 2:

img

输入: root = [5,2,-5]
输出: [2]

提示:

  • 节点数在 [1, 10^4] 范围内
  • -10^5 <= Node.val <= 10^5

思考

本题难度中等。

首先是读懂题意。题目中给出了一个二叉树的根结点 root ,需要返回出现次数最多的子树元素和。如果有多个元素出现的次数相同,返回所有出现次数最多的子树元素和(不限顺序)。

那么,我们可以使用深度优先搜索哈希表去解决该问题。使用 DFS 对二叉树进行遍历,同时将每棵子树的总和值存入哈希表(以元素和为 key,出现次数为 value)。每棵子树的总和值等于根节点的数值加上左右子树的和。我们还需要实时维护最大子树和,使用变量 maxCount 存储。当遍历完整棵树后,我们将哈希表中值为 maxCount 的键存入答案数组即可。

本题的时间复杂度和空间复杂度均为O(n),其中 n 是二叉树的结点个数。

解答

方法一:深度优先搜索 + 哈希表

/**
 * @param {TreeNode} root
 * @return {number[]}
 */
var findFrequentTreeSum = function(root) {
  const map = new Map()
  let maxCount = 0
  const dfs = (node) => {
    if (!node) {
      return 0
    }
    const sum = node.val + dfs(node.left) + dfs(node.right)
    map.set(sum, (map.get(sum) || 0) + 1)
    maxCount = Math.max(maxCount, map.get(sum))
    return sum
  }
  dfs(root)
  const ans = []
  for (const [s, c] of map.entries()) {
    if (c === maxCount) {
      ans.push(s)
    }
  }
  return ans
}

复杂度分析:

  • 时间复杂度:O(n),其中 n 是二叉树的结点个数。
  • 空间复杂度:O(n)。

参考