leetcode-出现次数最多的子树元素和

102 阅读1分钟

持续创作,加速成长!这是我参与「掘金日新计划 · 6 月更文挑战」的第25天,点击查看活动详情

题目描述

给你一个二叉树的根结点 root ,请返回出现次数最多的子树元素和。如果有多个元素出现的次数相同,返回所有出现次数最多的子树元素和(不限顺序)。

一个结点的 「子树元素和」 定义为以该结点为根的二叉树上所有结点的元素之和(包括结点本身)。

示例 1:

示例1.jpg

输入: root = [5,2,-3]
输出: [2,-3,4]

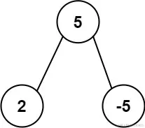
示例 2:

示例2.jpg

输入: root = [5,2,-5]
输出: [2]

提示:

  • 节点数在 [1, 104] 范围内
  • -105 <= Node.val <= 105

思路

要求出出现次数最多的和,那么我们需要先对所有的节点进行求和。这里我们用了深度优先搜索来做求和这一步,其实跟后续优先遍历是一样的,因为节点的和依赖于它的左子节点和跟右子节点和。求和之后,我们可以再进行一次树的遍历,使用sumCntMap508存下每个和出现的次数,再用一个maxCnt508维护出现最多的次数。这一步可以跟求和放在一个循环里面。然后,我们再遍历一遍sumCntMap508,得到出现次数为maxCnt508的所有的和(可能存在多个)。
吐槽一下,本来到这里应该完成了,但是java的要求返回int[],导致还要写几行来把List转换成Array。

Java版本代码

class Solution {

    Map<Integer, Integer> sumCntMap508;
    int maxCnt508;

    public int[] findFrequentTreeSum(TreeNode root) {
        // 存储每一个不同的和,key为和,value为出现的次数
        sumCntMap508 = new HashMap<>();
        // 出现最多次数和的次数
        maxCnt508 = 0;
        // 深度优先搜索
        dfs508(root);
        List<Integer> ansList = new ArrayList<>();
        for (Map.Entry<Integer, Integer> entry : sumCntMap508.entrySet()) {
            if (entry.getValue() == maxCnt508) {
                ansList.add(entry.getKey());
            }
        }
        // 纯粹为了转成int[],为啥题目的函数不能直接返回List
        int[] ans = new int[ansList.size()];
        for (int i = 0; i < ansList.size(); i++) {
            ans[i] = ansList.get(i);
        }
        return ans;
    }

    private int dfs508(TreeNode root) {
        if (root == null) {
            return 0;
        }
        int sum = root.val + dfs508(root.left) + dfs508(root.right);
        sumCntMap508.put(sum, sumCntMap508.getOrDefault(sum, 0) + 1);
        maxCnt508 = Integer.max(maxCnt508, sumCntMap508.get(sum));
        return sum;
    }
}