后缀表达式

204 阅读2分钟

持续创作,加速成长!这是我参与「掘金日新计划 · 6 月更文挑战」的第20天,点击查看活动详情

题目描述

给定一个二叉表达式树,请你输出相应的后缀表达式,要求使用括号反映运算符的优先级。

输入格式

第一行包含整数 N,表示节点数量。节点编号 1∼N。

接下来 N 行,每行给出一个节点的信息(第 i 行对应第 i 个节点),格式为:

data left_child right_child

其中,data 是一个不超过 1010 个字符的字符串,left_childright_child 分别是该节点的左右子节点的编号。

没有子节点(即 NULL),则用 −1 表示。

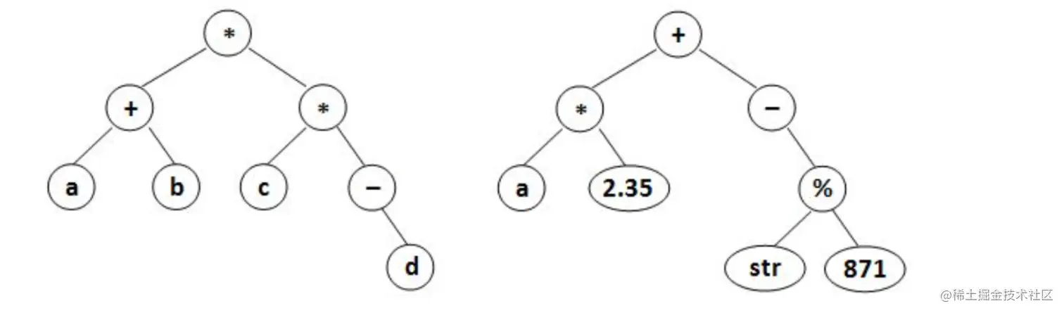
下面两图分别对应给出的两个样例。

image.png

输出格式

在一行中输出答案,表达式符号之间不得有空格。

数据范围

1≤N≤201≤N≤20

输入样例1:

8
* 8 7
a -1 -1
* 4 1
+ 2 5
b -1 -1
d -1 -1
- -1 6
c -1 -1

输出样例1:

(((a)(b)+)((c)(-(d))*)*)

输入样例2:

8
2.35 -1 -1
* 6 1
- -1 4
% 7 8
+ 2 3
a -1 -1
str -1 -1
871 -1 -1

输出样例2:

(((a)(2.35)*)(-((str)(871)%))+)

思路

树中的结点可以分为三类(因为是算法树,不会出现左孩子非空右孩子为空的情况):

左右孩子都为空:输出结点值 左孩子为空,右孩子非空:输出结点值+遍历右孩子 左右还在都非空:遍历左孩子+遍历右孩子+输出结点值

算法树: 只有右儿子的情况就是负数。

时间复杂度: O(n)

空间复杂度: O(n)

代码

#include<bits/stdc++.h>
using namespace std;
int n,l[25],r[25],f[25];
string s[25];
string g(int x){
    if(l[x]==-1&&r[x]==-1)
        return "("+s[x]+")";
    if(l[x]==-1&&r[x])
        return "("+s[x]+g(r[x])+")";
    return "("+g(l[x])+g(r[x])+s[x]+")";
}
​
int main(){
    memset(l,-1,sizeof l);
    memset(r,-1,sizeof r);
    cin>>n;
    for(int i=1;i<=n;i ++){
        cin>>s[i]>>l[i]>>r[i];
        if(l[i])f[l[i]]=1;
        if(r[i])f[r[i]]=1;
    }
    int x=1;
    while(f[x])x++;
    cout<<g(x);
    return 0;
}
​