二叉树按层遍历并收集结点

115 阅读2分钟

持续创作,加速成长!这是我参与「掘金日新计划 · 6 月更文挑战」的第22天,点击查看活动详情

二叉树按层遍历并收集结点

力扣链接:二叉树的按层遍历II

题目

给你二叉树的根节点 root ,返回其节点值 自底向上的层序遍历 。 (即按从叶子节点所在层到根节点所在的层,逐层从左向右遍历)

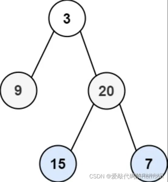
示例

在这里插入图片描述

提示

树中节点数目在范围 [0, 2000] 内 -1000 <= Node.val <= 1000

题解

先不关心倒序的事,这个题目返回的肯定是一个嵌套的list,外层的list套着一个个小list

在这里插入图片描述

解题步骤
  1. 拿出此时队列的size,size有多少个,步骤2重复多少回;
  2. 弹出当前结点,当前结点有左孩子就先将左孩子加入队列,有右孩子再将右孩子加入队列;(先左再右
问题

经历上面的步骤,确实是按顺序收集好了,但是题目要求的是倒序收集,即按从叶子节点所在层到根节点所在的层,逐层从左向右遍历

此时如果外层的list用的是ArrayList的话,因为它底层就是数组,所以插入数据代价是O(N)的;如果外层用的是LinkedList,它底层用的是链表,插入数据的代价就是O(1)的。

小测试(分别测试ArrayList和LinkedList插入数据的效率),每次都在0位置上插入数据,测试了300000组,单位时间为毫秒(刚兴趣的同学也可以自己测试下)

public class Code10_BinaryTreeLevelOrderTraversalII {
    public static void main(String[] args) {
        int testTimes=300000;
        long start;
        long end;
        ArrayList<Integer> arr1=new ArrayList<>();
        start=System.currentTimeMillis();
        for(int i=0; i<testTimes; i++){
            arr1.add(0,i);
        }
        end=System.currentTimeMillis();
        System.out.println(end-start);

        LinkedList<Integer> arr2=new LinkedList<>();
        start=System.currentTimeMillis();
        for(int i=0; i<testTimes; i++){
            arr2.add(0,i);
        }
        end=System.currentTimeMillis();
        System.out.println(end-start);
    }
}

测试结果 在这里插入图片描述

代码
public List<List<Integer>> levelOrderBottom(TreeNode root) {
        List<List<Integer>> ans=new LinkedList<>();
        if(root==null){
            return ans;
        }
        Queue<TreeNode> queue=new LinkedList<>();
        queue.add(root);
        while(!queue.isEmpty()){
            int size=queue.size();// 必须要记录size,不能直接 i<queue.size()
            List<Integer> curAns=new LinkedList<>();
            for(int i=0; i<size; i++){
                TreeNode curNode=queue.poll();
                curAns.add(curNode.val);
                if(curNode.left!=null){
                    queue.add(curNode.left);
                }
                if(curNode.right!=null){
                    queue.add(curNode.right);
                }
            }
            ans.add(0,curAns);
        }
        return ans;
    }

扩展

Java中队列是个接口,不能够自己实现。栈可以自己实例化,但是Java中栈的方法实现起来是比较慢的(具体为什么慢就要去看源码了,可以说是个经验),所以如果想优化常数时间的话,应该自己去实现一个栈,而别去用Java系统中提供的栈,可以用LinkedList,也可以用数组(栈不就是先进后出嘛)。

最快的情况下就是用数组实现栈(一些笔试情况下,需要优化常数时间的时候,经常用到),假设数组长度为一万,那么我们也可以确定栈的大小就是一万...

我们也可以来做个小测试

		int testTimes2=20000000;
        start=System.currentTimeMillis();
        Stack<Integer> stack1=new Stack<>();
        for(int i=0; i<testTimes2; i++){
            stack1.push(i);
        }
        while(!stack1.isEmpty()){
            int a=stack1.pop();
        }
        end=System.currentTimeMillis();
        System.out.println(end-start);


        start=System.currentTimeMillis();
        int[] stack2=new int[testTimes2];
        int i=0;
        for( ; i<testTimes2; i++){
            stack2[i++]=i;
        }
        while(i!=0){
            int b=stack2[--i];
        }
        end=System.currentTimeMillis();
        System.out.println(end-start);

测试结果:插入弹出20000000次,系统栈耗费时间6000多毫秒,自己用数组实现的栈只耗费了79毫秒,极大的优化了常数时间! 在这里插入图片描述