为什么是PID控制

1,257 阅读7分钟

本文已参与「新人创作礼」活动,一起开启掘金创作之路

  在进入正式话题之前需要引入四个概念:稳态误差终值定理幅角条件系统稳定的充要条件

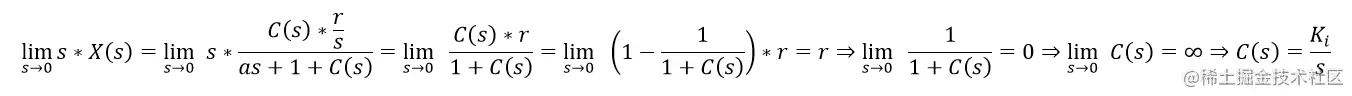
稳态误差:系统达到稳定状态后,系统的实际输出量与系统希望的输出量之间的偏差。 终值定理:设有连续函数f(t)f(t),当t趋于无穷时,f(t)f(t)的极限存在,则有 在这里插入图片描述 其中,F(s)F(s)f(t)f(t)经过拉普拉斯变换后的函数,即 在这里插入图片描述

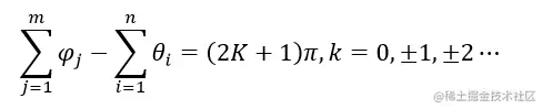
幅角条件   零点到根的夹角和与极点到根的夹角和是 180°180° 的倍数。φφ表示极点,θθ表示零点 在这里插入图片描述

系统稳定的充要条件:闭环传递函数的极点位于ss的左半平面。对于某个系统的传递函数的极点为 pp1pp2 ,它们都在实轴上,即 p1 == -$$a , p2 == -$$b (aabb均为常数)对该系统一个单位冲激信号,于是系统的响应为 在这里插入图片描述pp1 << 00 , pp2 << 00在这里插入图片描述   说明这个系统是收敛的,也就是说这个系统可以稳定。

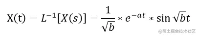
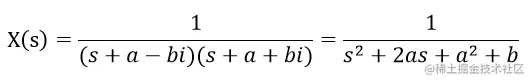
pp1pp2 有一个大于00在这里插入图片描述   说明这个系统是发散的,也就是说这个系统无法达到稳定。 当 pp1pp2 并没有在实轴上,即 p1 == -$$a ++ b$$i , p2 == -$$a -$$b$$i ,此时有 在这里插入图片描述 在经过拉普拉斯逆变换,得 在这里插入图片描述   正弦函数是等幅振荡函数,而 ee^(-at)^ 会随 tt 得增大而减小 ,最终趋向于00,故而 X(t)X(t) 是一个振荡衰减函数,最终仍会趋向于 00。图像大概是这个样子 在这里插入图片描述 如果 p1 == aa ++ bibi , p2 =abi= a -bi ,此时有 在这里插入图片描述   此时该函数时振荡发散的,是不稳定的,图像就是上图从右往左看。

  进入正式话题,在做实际工程或者学习自动控制原理的时候,PID控制经常被提起,大部分工程中涉及控制基本都是PID,那么PID到底是什么?它为什么可以做控制使用?又是如何控制的呢?所谓PID就是比例积分微分控制,下面我们就对33种控制稍做分析。

比例控制

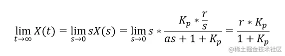
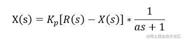
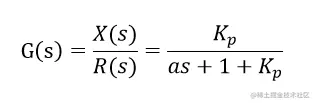
  对于如下比例控制系统,输入是R(s)R(s),输出是X(s)X(s)在这里插入图片描述在这里插入图片描述 于是系统的闭环传递函数为 在这里插入图片描述   由这个传递函数可知极点p=(1p = ( -1 - Kp )/a) /a,我们知道,当 pp位于 ss 的左半平面时系统才会稳定,也就是说 Kp >> 1-1 时系统才会稳定。   我们给系统一个输入一个目标值,即 r(t)=rr(t)=r, 于是 在这里插入图片描述在这里插入图片描述 根据中值定理,有 在这里插入图片描述 那么稳态误差为 在这里插入图片描述   由上式可知,KKp 趋向于无穷大时,eess 趋向于 00,但实际工程中,KKp 不可能取太大,否则超调量会非常大(一阶系统除外),如果超过了控制器的输出范围,那也就没有意义了,但是在控制器的输出范围内,Kp又不会太大,所以稳态误差还是消除不了,故而一般不单独使用比例控制。

举个实际的例子:   对于系统: 在这里插入图片描述   通过以上的推理,该系统在 KKp >> 1-1 时才会稳定,那就在simulink中仿真一下,把输入设置为1010,示波器中的黄线代表目标值,蓝线代表输出值: KKp == - 22 时,系统结构如下 在这里插入图片描述 输出曲线如下 在这里插入图片描述   由图可以看出,输出值已经跑飞了,系统不可能会稳定下来。 看看 KKp == 22 时的情况 在这里插入图片描述   这时候系统已经稳定了,但是稳态误差很大。 再看看 KKp == 100 的情况 在这里插入图片描述   此时稳态误差已经很小了,可以忽略不计了。但是此时的 KKp 已经非常大了,如果系统此时输出为 99 ,那么偏差就为 11,比例控制输出为 100100,对于PWM调节的话,占空比最大就是100$$\%,很明显这是不符合实际应用的。当然控制器的输出我们可以不当做占空比直接使用,比如在单片机的PWM的配置过程中,令计数值为10001000才代表100$$\%占空比,那么比例控制输出100100,对应PWM占空比也才10$$\%,看上去很合理,也符合实际应用,这样一来,系统的调节时间就会变长,同样我们也可以理解为此时 KKp 还较小。所以比例控制一般不单独使用。

积分控制

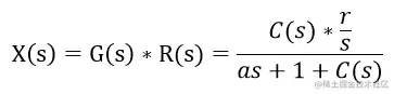
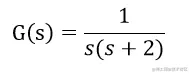
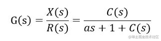
  上面我们研究了比例控制器,他不能消除稳态误差,所以需要设计新的控制器C(s)C(s),系统结构框图如下: 在这里插入图片描述 求得系统传递函数 在这里插入图片描述   我们同样令r(t)=rr(t) = r ,拉普拉斯变换后, R(s)=r/sR(s) = r / s,于是有 在这里插入图片描述   我们的目标是消除稳态误差,即 eess == 00 在这里插入图片描述 继续推导 在这里插入图片描述   这个 C(s)C(s)不就是积分嘛,KKi 就是积分增益。我们来验证一下,还是拿前面的系统 在这里插入图片描述 设置 KKp == 22 , KKi == 11,看看比例控制与积分控制的效果 在这里插入图片描述   黄色的直线表示目标值,蓝色的线是比例控制,橙色线是积分控制。由图可以看出,积分控制很明显的消除了稳态误差,但是积分控制的调节时间却比比例控制要长很多,那将比例控制与积分控制放在一起,同时作用,效果又是怎样的?

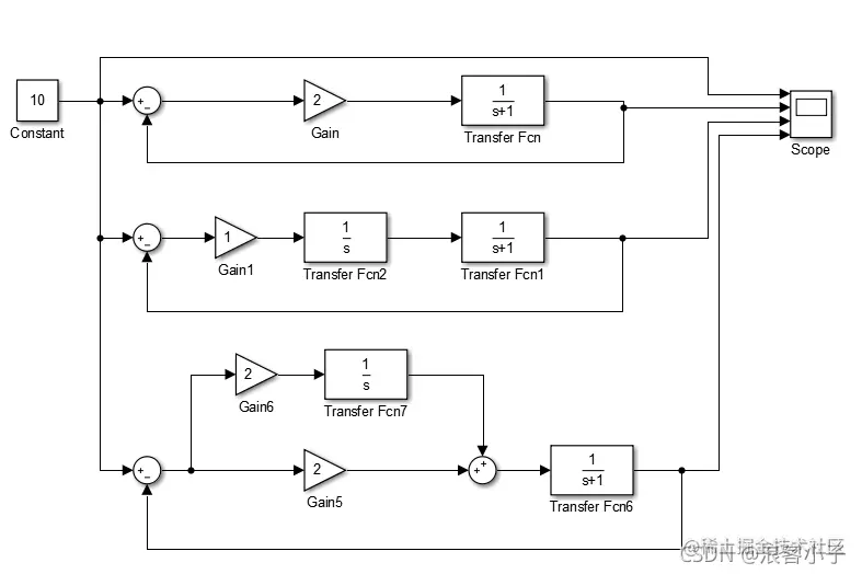
更改系统框图 在这里插入图片描述   最上面一个闭环是比例控制,第二个是积分控制,最下面一个是比例积分控制,为方便对比我们稍稍做下参数调整,将比例积分控制的 KKi 增加到 22,看看效果 在这里插入图片描述   这条绿色的线就是比例积分控制,其余三条不变。由图可知,比例积分控制不仅吸取了比例控制的快速响应并稳定特点,还吸取了积分控制能消除稳态误差的特点,所以比例积分控制的有点明显胜于比例控制。

引入微分控制

  设一个二阶系统的一对根为 pp1 =a+bi= - a + bi , pp2 =abi= - a - bi,对该系统输入一个单位冲激信号,那么该系统的响应为 在这里插入图片描述 经过拉普拉斯逆变换后,得 在这里插入图片描述   我们知道这个函数得曲线是振荡衰减直至到00,也就是说这个系统是稳定的。我们的目标是让系统更快速稳定,也就是加快系统的收敛速度,也就是a-a 越小,系统的收敛的速度才会越快,减小 a-a 也就是改变根轨迹,让根左移。我们以实例来说明: 设有系统的开环传递函数为 在这里插入图片描述   该系统有22个极点,φφ1== 00,φφ2== 2-2,没有零点,渐近线交点σσa=$$-1,与实轴得交角为90°90°,根轨迹如下 在这里插入图片描述 那么所有的根都将在实部为1-1这条竖线上,我们要让系统快速衰减,也就是让根左移,并且越左越好,我们就让他移到实部为2-2得这条竖线上,为便于计算,我们设这个根为k=2+23ik=-2+2√3i在这里插入图片描述 根据幅角条件 在这里插入图片描述在这里插入图片描述 这也就是说,k=2+23ik=-2+2√3i不在原根轨迹上,如果要使这个根满足幅角条件,或者说改变原根轨迹使得kk在新的根轨迹上,该怎么办呢?那就加个30°,也就是加个零点嘛,如图 在这里插入图片描述 通过计算,补偿的30°这个零点为8-8,那么这个新的控制器不就是H(s)=s+8H(s)=s+8,这不就是微分控制和比例控制吗,即PDPD控制,这里就把微分控制引进来了,我们可以仿真一下 在这里插入图片描述   这个结构中,上面一个闭环是PDPD控制,下面一个就是PP控制,K p K~p~ =8=8,得到得输出响应 在这里插入图片描述 蓝色的线表示PDPD控制,橙黄色得线表示PP控制,可以清楚得看到PDPD控制得超调要小的多,收敛的速度也明显比比例控制快很多。我们在修改修改参数,将KKi =2.9=2.9,看看效果 在这里插入图片描述 很明显,现在的超调已经变得很小了,收敛速度更快。对于微分控制,在实际应用中,不会拿微分控制单独做一个控制器,因为微分控制对高频干扰十分敏感,比如在系统中存在这样一个干扰:D(t)=0.01sin(100t)D(t)=0.01sin(100t),它的幅值很小,频率很高,一旦遇到微分控制,于是D(t)D(t)tt求导,此时 DD^1^(t)=cos(100t)cos(100t),赋值被放大了100倍,所以微分控制在很多时候并不被使用,PIPI控制被广泛应用。