数据结构:图

182 阅读3分钟

持续创作,加速成长!这是我参与「掘金日新计划 · 6 月更文挑战」的第22天,点击查看活动详情

概念

图是网络机构的抽象模型,是一组由连接的节点。图可以表示任何二元关系,比如道路、航班...

在Javascript中,是没有图这种数据结构的,但是可以用Object和Array构建图。
图有多种表示法:邻接矩阵、邻接表、关联矩阵...,一般根据需求自由表示。

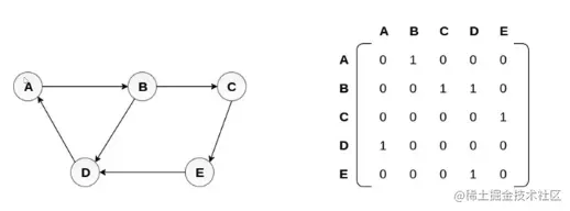
图的表示法:邻接矩阵
image.png
使用空间会比邻接表大,但是能清楚的查出边
图的表示法:邻接表
image.png

图的表示法太多,如何应对?
按自己喜欢的表示法实现所有的算法。
对于我们来说,只需要掌握最经典的表示法,遇到不同的需求,如果是其他表示法,我们就可以转换成最经典表示法,比如邻接矩阵表示法,再进行其他计算,这样就相当于掌握一种模版,然后遇到一些特殊的情况就先将它转换成模版,然后再进行操作,这样才能达到一通百通。

用Java代码表示图

publicn class Graph{
    public HashMap<Integer, Node> nodes;  // 点集,哈希表表示,Integer是表示点的编号
    public HashSet<Edge> edges;           // 边集
     
    public Graph(){
        nodes = new HashMap<>();
        edges = new HashSet<>();
    }
}
public class Edge{
    public int weight;         // 权值,常表示距离
    public Node from;          // 从哪个节点出来的
    public Node to;            // 到哪个节点去
    
    public Edge(int weight, Node from, Node to){
        this.weight = weight;
        this.from = from;
        this.to = to;
    }
}
public class Node{
    public int value;   // 点的值
    public int in;      // 点的入度
    public int out;     // 点的出度
    public ArrayList<Node> nexts;     // 从当前点出发,从它发散出去的边指向的邻居
    public ArrayList<Edge> edges;     // 从当前点出发,从它发散出去的边
    
    public Node(int value){
        this.value = value;
        in = 0;
        out = 0;
        nexts = new ArrayList<>();
        edges = new ArrayList<>();
    }
}

表示法如何转换成图

假设现在有个数据,是一个二维数组,数据结构为[weight, from节点上面的值,to节点上面的值][]:

[
    [5,0,1],   // 表示权重为5的这个边从0这个点到1这个点
    [3,1,2],
    [4,3,2]
]

其中,[5,0,1]表示[weight, from节点上面的值,to节点上面的值],

// matrix是一个N*3阶矩阵
// [weight, from节点上面的值,to节点上面的值]
public static Graph createGraph(Integer[][] matrix){
    Graph graph = new Graph();
    for(int i = 0; i<matrix.length; i++){
        Integer from = matrix[i][1];
        Integer to = matrix[i][2];
        Integer weight = matrix[i][0];
        if(!graph.nodes.containsKey(from)){
            gragh.nodes.put(from, new Node(from));
        }
        if(!graph.nodes.containsKey(to)){
            gragh.nodes.put(to, new Node(to));
        }
        Node fromNode = gragh.nodes.get(from);
        Node toNode = gragh.nodes.get(to);
        Edge newEdge = new Edge(weight, fromNode, toNode);
        fromNode.nexts.add(toNode);
        fromNode.out++;
        toNode.in++;
        fromNode.edges.add(newEdge);
        graph.edges.add(newEdge);
    }
    return graph;
}

图的操作:宽度优先遍历

步骤

  1. 利用队列实现
  2. 从源节点开始依次按照宽度进队列,然后弹出
  3. 每弹出一个点,把该节点所有没有进过队列的邻接点放入队列
  4. 直到队列变空

Java版

public static void bfs(Node node){
    if(node == null){
        return;
    }
    Queue<Node> queue = new LinkedList<>();
    HashSet<Node> set = new HashSet<>();
    queue.add(node);
    set.add(node);
    while(!queue.isEmpty()){
        Node cur = queue.poll();
        System.out.printIn(cur.value);
        for(Node next: cur.nexts)){
            if(!set.contains(next)){
                set.add(next);
                queue.add(next);
            }
        }
    }
}

图的操作:深度优先遍历

思路 先访问根节点,在对根节点的没访问过的相邻节点挨个进行深度优先遍历。 步骤

  1. 利用实现
  2. 从源节点开始把节点按照深度放入栈,然后弹出
  3. 每弹出一个点,把该节点下一个没有进过栈的邻接点放入栈
  4. 直到栈变空

Java版

public static void dfs(Node node){
    if(node == null){
        return;
    }
    Stack<Node> stack = new Stack<>();
    hashSet<Node> set = new HashSet<>();
    stack.add(node);
    set.add(node);
    System.out.printIn(node.value);
    while(!stack.isEmpty()){
        Node cur = stack.pop();
        for(Node next: cur.nexts){
            if(!set.contains(next)){
                stack.push(cur);
                stack.push(next);
                set.add(next);
                System.out.printIn(next.value);
                break;
            }
        }
    }
}

Leetcode-65. 有效数字

解题思路

image.png

解题步骤

  • 构建一个表示状态的图
  • 遍历字符串,并沿着图走,如果到了某个节点无路可走就返回false
  • 遍历结束,如走到3/5/6,就返回true,否则返回false

代码实现

var isNumber = function(s) {
    const graph = {
        0:{'blank': 0, 'sign':1,'.':2,'digit':6},
        1:{'digit':6,'.':2},
        2:{'digit':3},
        3:{'digit':3,'e':4},
        4:{'digit':5,'sign':7},
        5:{'digit':5},
        6:{'digit':6,'.':3,'e':4},
        7:{'digit':5},
    }

    let state = 0;
    for(c of s.trim()){
        if(c>='0'&&c<='9'){
            c='digit'
        }else if(c === ' '){
            c='blank'
        }else if(c === '+'||c==='-'){
            c='sign'
        }

        state = graph[state][c]
        if(state === undefined){
            return false;
        }
    }

    if(state === 3 || state === 5 || state === 6){
        return true
    }
    return false
};

Leetcode-417. 太平洋大西洋水流问题

解题思路

  • 将矩阵想象成图
  • 从海岸线逆流而上遍历图,所到之处就是可以留到某个大洋的坐标

image.png

解题步骤

  • 新建两个矩阵,分别记录能留到两个大洋的坐标
  • 从海岸线,多管齐下,同时深度优先遍历图,过程中填充上述矩阵
  • 遍历两个矩阵,找出能留到两个大洋的坐标

代码实现

var pacificAtlantic = function(matrix) {
    if(!matrix || !matrix[0]){ return []}
    const m = matrix.length;  // 行数
    const n = matrix[0].length;

    // 新建两个矩阵,分别记录能流到两个大洋的坐标
    const flow1 =  Array.from({ length: m }, () => new Array(n).fill(false));
    const flow2 =  Array.from({ length: m }, () => new Array(n).fill(false));
    
    // 深度优先遍历,过程中填充flow1,flow2

    const dfs = (r, c, flow) => {
        flow[r][c] = true;
        //遍历相邻节点
        [[r-1, c],[r+1,c],[r,c-1],[r,c+1]].forEach(([nr,nc]) => {
            if(
                // 保证在矩阵中
                nr >= 0 && nr < m &&
                nc >= 0 && nc < n &&
                // 保证未访问过,防止死循环
                !flow[nr][nc] &&
                // 保证逆流而上
                matrix[nr][nc] >= matrix[r][c]
            ){
                dfs(nr, nc, flow);
            }
        })
    }
    // 沿着海岸线逆流而上
    for(let r = 0; r < m; r += 1){
        // 遍历第一列
        dfs(r, 0, flow1);
        // 遍历最后一列
        dfs(r, n -1, flow2);
    }
    for(let c = 0; c<n;c+=1){
        dfs(0, c, flow1);
        dfs(m-1, c, flow2);
    }
    // 能流到两个大洋的坐标
    const res = [];
    for(let r = 0;r<m;r+=1){
        for(let c=0;c<n;c+=1){
            if(flow1[r][c]&&flow2[r][c]){
                res.push([r,c])
            }
        }
    }
    return res
};

Leetcode-133. 克隆图

解题思路

  • 拷贝所有节点
  • 拷贝所有的边

解题步骤

  • 深度或广度优先遍历所有节点
  • 拷贝所有的节点,存储起来
  • 将拷贝的节点,按照原图的连接方法进行连接

代码实现

// 深度优先遍历
var cloneGraph = function(node) {
    if(!node) return;
    const visited = new Map();
    const dfs = (n) => {
        const nCopy = new Node(n.val);
        visited.set(n, nCopy);
        (n.neighbors || []).forEach(ne=>{
            if(!visited.has(ne)){
                dfs(ne)
            }
            nCopy.neighbors.push(visited.get(ne))
        })
    };
    dfs(node)
    return visited.get(node)
};

时间复杂度:O(n),访问了所有节点,n为节点数
空间复杂度:O(n),有map这个数据结构。递归的空间复杂度<map这个数据结构