数据结构与算法之B+树

289 阅读2分钟

持续创作,加速成长!这是我参与「掘金日新计划 · 6 月更文挑战」的第20天,点击查看活动详情

B+树

B+树可以说是B树的升级版,相对于B树来说B+树更充分的利用了节点的空间,让查询速度更加稳定,其速度完全接近于二分法查找。大部分文件系统和数据均采用B+树来实现索引结构。   下图B树,我们要遍历它,假设每个节点都属于硬盘的不同页面,我们为了中序遍历所有的元素,页面2-页面1-页面3-页面1-页面4-页面1-页面5,页面1遍历了3次,而且我们每经过节点遍历时,都会对节点中的元素进行一次遍历 在这里插入图片描述

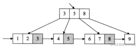
B+树是应文件系统所需而出的一种B树的变形树,在B树中,每一个元素树中只出现一次,而B+树中,出现在分支节点中的元素会被当做他们在该分支节点位置的中序后继者(叶子节点)中再次列出。另外,每一个叶子节点都会保存一个指向后一叶子节点的指针。 下图就是B+树,灰色关键字,在根节点出现,在叶子节点中再次列出 在这里插入图片描述

一棵m阶的B+树和m阶的B树的差异在于

  • 有n棵子树的非叶节点中包含有n个关键字(B树中是n-1个关键字),但是每个关键字不保存数据,只用来保存叶子节点相同关键字的索引,所有数据都保存在叶子节点。(此处,对于非叶节点的m颗子树和n个关键字的关系,mysql的索引结构似乎是m=n+1,而不是上面的m=n)
  • 所有的非叶节点元素都同时存在于子节点,在子节点元素中是最大(或最小)元素。
  • 所有的叶子节点包含全部关键字的信息,及指向含这些关键字所指向的具体磁盘记录的指针data,并且每一个叶子节点带有指向下一个相邻的叶节点指针,形成链表