数据结构-树和森林

477 阅读4分钟

本文已参与「新人创作礼」活动,一起开启掘金创作之路。

树和森林

1. 树的存储结构

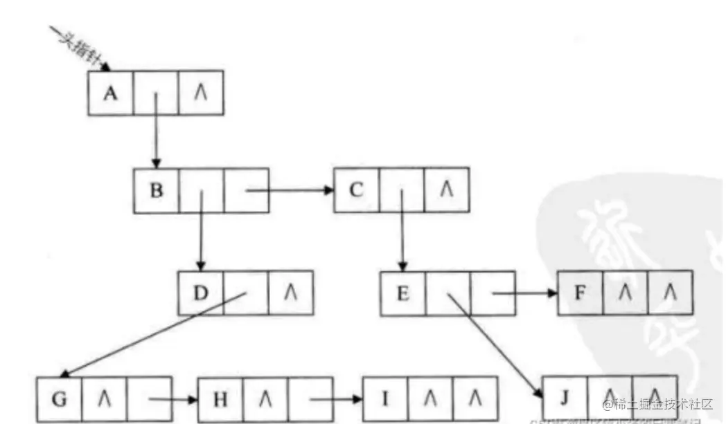
双亲表示法(结点有唯一的双亲)

image.png

其中,data是数据域,存储结点的数据信息;parent是指针域,存储该结点的双亲在数组中的下标。

如图例所示:

在这里插入图片描述

在这里插入图片描述

孩子表示法(每个结点建孩子链表)

image.png

孩子兄弟表示法(二叉链表对树进行存储)

image.png

其中,data是数据域;fristchild为指针域,存储该结点的第一个孩子结点的存储地址;rightsib是指针域,存储该结点的右兄弟结点的存储地址。

2. 树,森林与二叉树的转换

树与二叉树均可用二叉链表作为存储结构,则以二叉链表为媒介可导出树与二叉树之间对应转换关系。

树转换为二叉树

将树转换为二叉树的步骤如下:

1.加线。在所有兄弟结点之间加一条连线。

2.去线。对树中每个结点,只保留它与第一个孩子结点的连线,删除它与其他孩子结点之间的连线。

3.层次调整。以树的根结点为轴心,将整棵树顺时针旋转一定的角度,使之结构层次分明。注意第一个孩子是二叉树结点的左孩子,兄弟转换过来的孩子是结点的右孩子。

树转换为二叉树,其左有子树的概念已改变为:左为孩子,右为兄弟。

森林转换为二叉树

将森林转换为二叉树的步骤如下:

1.把每个树转换为二叉树。

2.第一棵二叉树不动,从第二棵二叉树开始,依次把后一棵二叉树的根结点作为前一棵二叉树的根结点的右孩子、用线连接起来。当所有的二叉树连接起来后就得到了由森林转换来的二叉树。

image.png

二叉树转换为树

将二叉树转换为森林的步骤如下:

1.加线。若某结点的左孩子结点存在,则将这个左孩子的右孩子结点、右孩子的右孩子结点、右孩子的右孩子的右孩子结点…… 反正就是左孩子的n个右孩子结点都作为此结点的孩子。将该结点与这些右孩子结点用线连接起来。

2.去线。删除原二叉树中所有结点与其右孩子结点的连线。

3.层次调整。使之结构层次分明。

image.png

二叉树转换为森林

判断一棵二叉树能够转换成一棵树还是森林,标准很简单,那就是只要看这棵二叉树的根结点有没有右孩子,有就是森林,没有就是一棵树。那么如果是转换成森林,步骤如下:

1.从根结点开始,若右孩子存在,则把与右孩子结点的连线删除,再查看分离后的二叉树,若右孩子存在,则连线删除……,直到所有右孩子连线都删除为止,得到分离的二叉树。

2.再将每棵分离后的二叉树转换为树即可。

image.png

3. 树与森林的遍历

树的遍历

1. 树的先根遍历

若树不空,则遍历过程为:

访问根结点;

从左至右依次先根遍历根结点的每棵子树。

在这里插入图片描述

先根遍历:ABEFCDG

先根遍历算法1:
void RootFirst(CSTree root){
	if(root!=NULL)
	{
		Visit(root->data);
		p = root->FCh; //第一颗子树的根指针
		while(p!=NULL){
			RootFrist(p);
			p = p->Nsib;
		}
	}
}
先根遍历算法2:
void RootFirst(CSTree root){
	if(root!=NULL)
	{
		Visit(root->data); //访问根结点
		RootFrist(root->FCh); //先根遍历首子树
		RootFrist(root->Nsib); //先根遍历兄弟树
	}
}

2. 树的后根遍历

若树不空,则遍历过程为:

从左至右依次先根遍历根结点的每棵子树。

访问根结点;

后根遍历:EFBCGDA

森林的遍历

1. 森林的先序遍历

访问森岭第一棵树的根结点;

先序遍历森林第一棵树根结点的子树森林;

先序遍历除底一棵树之外其余树构成的森林。

在这里插入图片描述

先序遍历:ABCDEFGHJI

2. 森林的中序遍历

中序遍历森林第一棵树根结点的子树森林;

访问森岭第一棵树的根结点;

中序遍历除底一棵树之外其余树构成的森林。

中序遍历:BCDAFEJHIG

3. 森林的后序遍历(了解)