golang协程与线程简要区别

1,617 阅读5分钟

进程与线程

进程是操作系统资源分配的基本单位,是程序运行的实例。例如打开一个浏览器就开启了一个进程。

线程是操作系统调度到CPU中执行的基本单位。例如在浏览器里新建一个窗口就需要一个线程来进行处理。

在一般情况下,线程是进程的组成部分,一个进程可以包含多个线程。例如浏览器可以新建多个窗口。

进程中的多个线程并发执行并共享进程的内存等资源。例如多个窗口之间可以共享登录状态、cookie等信息。

进程之间相对独立,不同进程具有不同的内存地址空间,系统资源描述符等。例如再新开一个浏览器,就又开启了一个进程,浏览器之间状态相互独立。

开启一个进程的开销比开启一个线程大得多,且进程具有独立的内存空间,多进程之间的通信通常比较困难。

并发与并行

并发不等于并行。

并发并不意味着同一时刻所有任务都在执行,而是在一个时间段内,所有的任务都能执行完毕。例如在单核CPU上运行多线程程序,多线程会交替抢占CPU时间片,任意一个时刻只能执行一个具体的线程。

在多核CPU上,线程可以分布在多个CPU核心上运行,实现真正的并行处理。

在多核处理场景中,并发与并行往往同时存在,多核心在并行处理多个线程,单核心中的多个线程又在交替执行。

go协程与线程

线程是系统调度的基本单位。go协程由go语言运行时的调度器进行调度,操作系统内核感知不到协程的存在。

在多核处理场景中,线程是并发与并行同时存在的,而go协程依托于线程,因此多核处理场景下,go协程也是并发与并行同时存在的。因为go协程从属于某一个线程,所以即便在单核处理器上某一时刻运行一个线程,在线程内go语言调度器也会切换多个协程执行,这时协程是并发的。在多核心处理器上,如果多个协程被分配给了不同的线程,而这些线程同时被不同的CPU核心所处理,这时协程就是并行处理的。

go协程与线程存在着很多不同之处:

调度方式

线程: 线程是根据CPU时间片进行抢占式调度的。操作系统通过中断信号(定时器中断、I/O设备中断等)执行线程的上下文切换。当发生线程上下文切换时,需要从操作系统用户态转移到内核态,并保存状态信息;当切换到下一个要执行的线程时,需要加载状态信息并从内核态转移到操作系统用户态。

协程: 协程存在于用户态,由go语言运行时调度器进行调度。协程从属于某一个线程,多个协程可以调度到一个线程中,一个协程也可能切换到多个线程中执行,因此协程与线程是多对多(M:N)的关系。

调度策略

线程: 抢占式调度。操作系统调度器为了均衡每个线程的执行周期,会定时发出中断信号强制执行线程上下文切换。

协程: 协作式调度。一个协程处理完自己的任务后,可以主动将执行权限让渡给其他协程,不会被轻易抢占。只有在协程运行了过长时间后,go语言调度器才会强制抢占其执行。

上下文切换速度

线程: 线程上下文的切换需要经过操作系统用户态与内核态的切换,切换速度大约为1~2微秒。

协程: 协程属于用户态轻量级的线程,协程的切换不需要经过用户态与内核态的切换,且切换时只需要保存极少的状态值,因此切换速度快数倍,大约为0.2微秒左右。(大约10倍于线程的切换速度)

栈的大小

线程: 线程的栈大小一般是在创建时指定的,linux及mac上默认的栈大小一般为8MB(可以通过ulimit -s查看)。2000个线程需要消耗16G虚拟内存。

协程: go协程栈大小默认为2KB, 16G虚拟内存可以创建800多万个协程。在实践中,经常可以看到存在成千上万的协程。

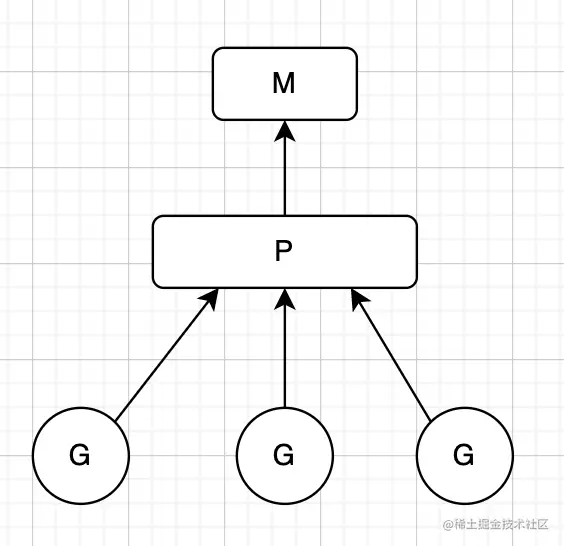
GMP模型

协程(G)线程(M)逻辑处理器(P)模型描述了线程与协程的关系。在GMP模型中:

G代表go协程(Goroutine),M代表实际的线程,P代表逻辑处理器(Process)。go语言为了方便协程的调度与缓存,抽象出了逻辑处理器P

在任一时刻,一个逻辑处理器P可能在本地包含多个协程G,同时绑定一个线程M

需要注意的是,一个协程G并不是固定绑定同一个逻辑处理器P的,可能转移到其他逻辑处理器中。

逻辑处理器P对应的线程M也是不固定的,在某些时候可能转移到其他P中执行。

image.png