☆打卡算法☆LeetCode 160. 相交链表 算法解析

217 阅读3分钟

持续创作,加速成长!这是我参与「掘金日新计划 · 6 月更文挑战」的第22天,点击查看活动详情

推荐阅读

大家好,我是小魔龙,Unity3D软件工程师,VR、AR,虚拟仿真方向,不定时更新软件开发技巧,生活感悟,觉得有用记得一键三连哦。

一、题目

1、算法题目

“给定两个链表的头节点,找出并返回两个单链表相交的起始节点。”

题目链接:

来源:力扣(LeetCode)

链接: 160. 相交链表 - 力扣(LeetCode)

2、题目描述

给你两个单链表的头节点 headA 和 headB ,请你找出并返回两个单链表相交的起始节点。如果两个链表不存在相交节点,返回 null 。

图示两个链表在节点 c1 开始相交:

image.png

题目数据 保证 整个链式结构中不存在环。

注意,函数返回结果后,链表必须 保持其原始结构 。

自定义评测:

评测系统 的输入如下(你设计的程序 不适用 此输入):

  • intersectVal - 相交的起始节点的值。如果不存在相交节点,这一值为 0
  • listA - 第一个链表
  • listB - 第二个链表
  • skipA - 在 listA 中(从头节点开始)跳到交叉节点的节点数
  • skipB - 在 listB 中(从头节点开始)跳到交叉节点的节点数

评测系统将根据这些输入创建链式数据结构,并将两个头节点 headA 和 headB 传递给你的程序。如果程序能够正确返回相交节点,那么你的解决方案将被 视作正确答案 。

image.png

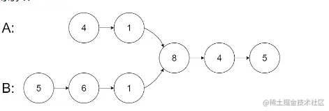
示例 1:
输入:intersectVal = 8, listA = [4,1,8,4,5], listB = [5,6,1,8,4,5], skipA = 2, skipB = 3
输出:Intersected at '8'
解释:相交节点的值为 8 (注意,如果两个链表相交则不能为 0)。
从各自的表头开始算起,链表 A[4,1,8,4,5],链表 B[5,6,1,8,4,5]。
在 A 中,相交节点前有 2 个节点;在 B 中,相交节点前有 3 个节点。
示例 2:
输入:intersectVal = 2, listA = [1,9,1,2,4], listB = [3,2,4], skipA = 3, skipB = 1
输出:Intersected at '2'
解释:相交节点的值为 2 (注意,如果两个链表相交则不能为 0)。
从各自的表头开始算起,链表 A[1,9,1,2,4],链表 B[3,2,4]。
在 A 中,相交节点前有 3 个节点;在 B 中,相交节点前有 1 个节点。

二、解题

1、思路分析

判断两个链表是否相交,可以使用哈希表存储链表节点。

首先,遍历链表A,将链表中的每个节点存到哈希表中。

然后遍历链表B,判断链表B中节点是否存在哈希表中。

存在就返回该节点,如果链表B所有节点都不在哈希表中,则返回null。

2、代码实现

代码参考:

public class Solution {
    public ListNode getIntersectionNode(ListNode headA, ListNode headB) {
        Set<ListNode> visited = new HashSet<ListNode>();
        ListNode temp = headA;
        while (temp != null) {
            visited.add(temp);
            temp = temp.next;
        }
        temp = headB;
        while (temp != null) {
            if (visited.contains(temp)) {
                return temp;
            }
            temp = temp.next;
        }
        return null;
    }
}

image.png

3、时间复杂度

时间复杂度:O(m+n)

其中m喝n分别是链表A和链表B的长度,需要遍历两个链表一次。

空间复杂度:O(m)

其中m是链表A的长度,需要用哈希表存储链表A中的全部节点。

三、总结

如果两个链表相交,那么相交点之后的长度是相同的。

我们需要做的事情是,让两个链表从同距离末尾同等距离的位置开始遍历。

这个位置只能是较短链表的头结点位置。