机械无级变速3

237 阅读2分钟

本文已参与「新人创作礼」活动,一起开启掘金创作之路.

3 钢球外锥式无级变速器部分零件的设计与计算

3.1  钢球与主﹑从动锥齿轮的设计与计算

输入功率   𝑃1 = 𝜇1 (𝑚人 + 𝑚车) × 𝑔 × 𝑣 ÷ 𝜂变

                    = 0.1 × (65 + 20) × 9.8 × 4.17 ÷ 0.86                 

=0.4039 kw

其中:

𝜇1 = 0.1,𝑚人 = 65 kgkg,𝑚车 = 20kg,𝑔 = 9.8,𝑣 = 15 𝑘𝑚 ℎ=4.17𝑚 𝑠 ,𝜂变 = 0.86

轮胎直径:𝑑1 = 560 mm

由力学知识可得:轮胎所产生的转矩与钢球摩擦所产生的转矩应平衡

3 × (𝑚人 + 𝑚车) × 𝑔 × 𝜇1 × 𝑅1 = 8 × 𝑄 × 𝜇2 × 𝑐1 × 𝑑𝑞 ÷ �

其中:!:𝑅1 = 280mm ,𝜇2 = 0.1,𝑐1 = 2.16,Q为钢球所受正压力

代入数据可得:

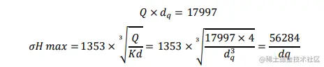
   𝑄 × 𝑑𝑞 = 17997

image.png

由于传动件的[σj]=2200~2500 Mpa  代入上式得:

!𝑑𝑞 = 22.51 ∼ 25.58𝑚𝑚,取 dq=25 mm,钢球数𝑧 = 8,取 dq=25 mm,钢球数

输出转速   n2==142.3 r/min

输入转速   n1=142.3/(0.75~1.22)=189.7~116.6 r/min

传动比    

变速范围  

钢球支轴的极限转角θ  

    增速方向     

减速方向  

圆锥工作直径    mm

image.png

钢球中心圆直径    mm

钢球侧隙  

外环内径  mm

外环轴向截面圆弧半径

      mm ,取 R=18 mm

锥轮工作圆之间的轴向距离

    mm

image.png  

3.2   加压盘的设计与计算

加压盘的作用直径

        = (0.5~0.6) × D1 = (0.5~0.6) × 54 = 27~32.4  mm

 mm

滑动摩擦角

加压盘V形槽倾角 λ=arctan =14.850

传动钢球的确接触应力为

        σ=1353×=1353×=2251.35 Mpa ≦[σj]

每个钢球作用在V形槽侧面的正压力  Qy=

                                        =651.6 N

用钢球加压装置时    

image.png

image.png

   σjmax=1370×=1370×                                          =4865.6  Mpa ≤[σj]

其中:[σj]为4000~5000  Mpa

钢球半径   mm            

               mm

碟形弹簧预紧力为200 N ,结构设计如下图所示:

图3-1   加压装置

 

3.3  调速齿轮上变速曲线槽的设计与计算

槽的张角ψ=800~120 ,取ψ=900。

(1)变速曲线槽的槽形曲线为圆弧,中心线上三个特殊点 A,B,C的坐标系(以O为极点)分别为:

时,

𝐼 = 𝐼𝑚𝑎𝑥时, 𝜓𝐴 = 0 0 𝑅𝐴 = 0.5𝐷3 − 𝑙 𝑠𝑖𝑛 𝜃 𝑠𝑖𝑛 8 0/ // 𝑚𝑎𝑥 mm

其中::𝑙 = 0.5(𝑑𝑞 + 𝛿) +(0.5~1.0)=0.5(5 + 25) +(0.5~1.0)=15.5

         I=1 时 ,ψB= 𝐼𝑚𝑎𝑥 1+𝐼𝑚𝑎𝑥×𝜓 = 1.22 1+1.22 × 90 0=49.460

         𝑅𝐵 = 0.5𝐷3 = 0.5 × 71.7 = 35.85 mm

     𝐼 = 𝐼𝑚𝑖𝑛 时 ,𝜓𝐶 = 𝜓 = 90 0 ,          𝑅𝐶 = 0.5𝐷3 + 𝑙 𝑠𝑖𝑛 𝜃 𝑠𝑖𝑛 5 0/ // 𝑚𝑖𝑛 mm

            

图3-2  调速论

image.png

(2)用通过三点作圆弧的方法确定槽圆弧确定曲线半径R和中心O” 

(3)要求传动比Ix与齿轮转角ψ呈线性变化时,槽形曲线方程为:

R(ψ)=0.5D3+lsinθ

   =0.5D3+lsin{ arctan[]}

   =0.5×71.7+15.5sin{arctan[]}

   =35.85+15.5sin(arctan)